当前位置:首页>录取分数线>“3+证书”近4年招生录取最低分

“3+证书”近4年招生录取最低分

  • 2026-04-04 20:40:01
“3+证书”近4年招生录取最低分
语数英三科总共450分,2026年考多少分才能填志愿,能被录取呢?
3+证书不同批次有不同的分数要求,回顾2025年,要求考生三科成绩达到本科260分/专科120分才能志愿填报,否则要等待志愿征集(补录)分数120分
小编整理了近4年最低省控线及各校最低录取分数线,如果想了解更加可以回复“分数”。
近几年的“3+证书考生和录取人数
2025年:高职“3+证书”考生超20.3万,招生计划11.7万
2024年:高职“3+证书”考生20万左右。录取12.1万人
2023年:高职“3+证书”考生17万左右,录取12.3万人
2022年:高职类“3+证书”考生12.5万左右,录取9.1万人
2021年:高职类“3+证书”考生9万左右,录取6.5万人

01

2025年3+证书录取最低分数线

经研究决定,广东省2025年普通高校春季高考(普通高等学校招收中等职业学校毕业生统一考试、高职院校依据普通高中学业水平考试成绩招生录取)招生录取最低分数线如下:

一、普通高等学校招收中等职业学校毕业生统一考试

(一)本科院校招收中等职业学校毕业生

文化科总分260分。

(二)高职院校招收中等职业学校毕业生

文化科总分120分。

(三)高职院校招收退役士兵考生

文化科总分85分。

(四)高职院校招收内地西藏新疆中职班考生

文化科总分90分。

2025年3+证书志愿第一次投档情况
我省2025年春季高考招生录取于3月27日开始。截至目前,“3+证书”本科批次已完成投档录取,共录取1823人;“3+证书”专科批次共投出11.57万人,其中,中职生11.54万人;“依学考成绩录取”共投出12.95万人,其中,普通类12.51万人、体育类1386人、音乐类195人、美术与设计类2689人、舞蹈类85人。

今年全省共有12所本科高校参与“3+证书”本科批次录取,新增招生院校3所,录取人数同比增长463人,增幅达34%,反映出我省中职毕业生学历提升需求不断增加,中职升本科路径进一步拓宽。“3+证书”专科批次考生志愿填报踊跃,绝大部分院校专业组均一次性满档。“依学考成绩录取”普通类、体育类、音乐类、美术与设计类、舞蹈类等部分院校专业组未满档,其中民办专科院校专业组缺额较大。

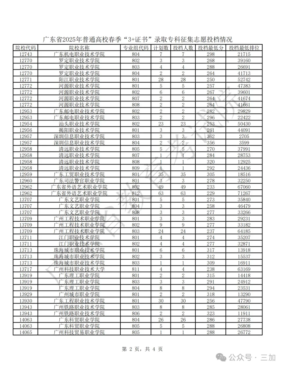
2025年“3+证书”投档结果!
2025年3+证书征集志愿
4月1日,我省2025年普通高等学校春季考试招生征集志愿正式投档。“3+证书”专科批次共投出1398人,其中中职生1380人,退役士兵4人,新疆西藏班14人;“依学考成绩录取”共投出1.46万人,其中普通类13754人、体育类199人、音乐类66人、美术与设计类567人、舞蹈类27人。
“3+证书”征集志愿资格线为:

高职院校招收中等职业学校毕业生:文化科总分120分。

高职院校招收退役士兵考生:文化科总分75分。

高职院校招收内地西藏新疆中职班考生:文化科总分80分。

今年参与补录的人数

补录最低分数线为120分,今年可以参与补录的考生超过6.8万人。

2025年3+证书总录计划940,以公办补录人数为主竞争非常激烈!6.8万人参加补录抢940个计划!

2025年“3+证书”补录投档线公布!

02

2024年3+证书录取最低分数线

经研究决定,广东省2024年普通高校春季高考(普通高等学校招收中等职业学校毕业生统一考试、高职院校依据普通高中学业水平考试成绩招生录取)招生录取最低分数线如下:

一、普通高等学校招收中等职业学校毕业生统一考试

(一)本科院校招收中等职业学校毕业生

文化科总分260分。

(二)高职院校招收中等职业学校毕业生

文化科总分115分。

(三)高职院校招收退役士兵考生

文化科总分85分。

(四)高职院校招收内地西藏新疆中职班考生

文化科总分90分。

2024年3+证书志愿第一次投档情况
我省2024年春季高考招生录取于3月27日至4月3日进行。本次投档包括“依学考成绩录取”普通类、美术与设计类、体育类、舞蹈类、音乐类和“3+证书”共6个类别。目前,“3+证书”本科批次投档录取结束,9所本科招生院校共录取1360名考生。“依学考成绩录取”和“3+证书”专科批次已开始投档,共投出27万余名考生,其中“依学考成绩录取”普通类投出146520人,体育类投出1880人,音乐类投出375人,舞蹈类投出130人,美术与设计类投出4518人,“3+证书”专科中职生批次投出117943人。
从投档情况看,高职分类考试招生改革成效明显。数据显示,今年春季高考考生填报的院校专业组志愿数明显高于往年。考生志愿填报积极踊跃、科学合理,春季高考越来越受到社会关注和考生家长认可。其中,“依学考成绩录取”普通类和舞蹈类各院校专业组均满档,体育类、音乐类和美术与设计类有个别院校专业组未满档;“3+证书”专科中职生批次绝大部分院校专业组已满档,仅4个院校专业组未满档。
2024年“3+证书”投档结果!
2024年3+证书征集志愿
“3+证书”征集志愿资格线为:

中职生:文化科总分105分。

退役士兵:文化科总分75分。

内地西藏新疆中职班:文化科总分80分。

今年参与补录的人数

今年可以参与补录的考生超过105分的同学有6.5万人,超过115分的考生有5.8万人。

2024年3+证书总录计划2481中公办补录人数为954人;民办补录人数为1527人。公办的计划还是比较少的,竞争比较激烈!6.5万人参加补录抢2000多个计划!

2024年“3+证书”补录投档线公布!

03

2023年3+证书录取最低分数线

2023年录取最低控制分数线(省控线)

(一)本科院校招收中等职业学校毕业生

文化科总分260分

(二)高职院校招收中等职业学校毕业生

文化科总分100分

(三)高职院校招收退役士兵考生

文化科总分85分

(四)高职院校招收内地西藏新疆中职班考生

文化科总分90分

2023年3+证书投档情况

我省2023年春季高考招生录取时间为3月29日至4月7日。29日,“3+证书”本科批次完成投档录取,9所招生院校共录取考生1110人。30日,“依学考成绩录取”和“3+证书”专科批次开始投档,共投出26万多名考生,其中“依学考成绩录取”投出普通类13.9万人、体育类2111人、音乐类524人、舞蹈类239人、美术类5002人、广播电视编导类145人,“3+证书”专科中职生批次投出11.3万人。从投档录取情况看,主要呈现以下几个特点:
一是“3+证书”本科批次依旧延续“火热”势头。今年我省“3+证书”本科批次录取均一次满档,共录取1110人,比上年增加217人;其中公办本科院校录取310人,民办本科院校录取800人。这反映出我省优质中职学校生源质量正在快速提升,中职毕业生对学历层次尤其是对本科学历的提升需求在不断增加,中职生就读本科层次升学路径进一步打通。
二是专科批次院校专业组录取形势良好。从专科批次投档情况看,“依学考成绩录取”普通类一次性满档的院校专业组有237个,满档率为94.8%;“3+证书”专科中职生批次一次性满档院校专业组有305个,满档率为92.4%。其中,地处经济发达城市且办学基础较好的院校及国家“双高计划”建设院校均一次性满档,且投档最低分也较高。如“依学考成绩录取”普通类的深圳职业技术学院、深圳信息职业技术学院、广州番禺职业技术学院部分院校专业组投档最低分均超过385分,分别为397分、387分、386分。“3+证书”专科中职生批次的深圳职业技术学院、深圳信息职业技术学院部分院校专业组投档分数线均超过330分,分别为349分、332分。
三是民办高职院校生源质量不断提升。经过多年办学积累,我省民办院校的办学质量和教学质量不断提升,社会认可度不断提高,吸引了越来越多的考生填报,今年“依学考成绩录取”普通类、“3+证书”专科中职生批次大部分民办高职院校专业组均满档。投档后,“依学考成绩录取”普通类仅有13个院校专业组有缺额,“3+证书”专科中职生批次有25个院校专业组有缺额。
根据我省春季高考录取工作安排,“依学考成绩录取”和“3+证书”考试专科批次录取将于4月1日结束,对未完成招生计划的院校专业,省招生办将组织考生进行征集志愿。预计,4月4日省招生办将公布缺额计划;4-6日,组织考生填报征集志愿。
2023年“3+证书”第一次投档结果公布!
2023年3+证书征集志愿投档情况

今年可以参与补录的同学有4.7万人,超过85分的同学有4.7万人,超过100分的同学有4.3万人。填补录志愿的同学基本都是100分以上,在100分以下的同学还是比较少的。

根据考试院公布的补录计划,总补录计划有10788个,其中公办补录人数为1610人;民办补录人数为9178人。

2023年“3+证书”补录投档线公布!

04

2022年3+证书录取最低分数线

2022年省控线

(一)本科院校招收中等职业学校毕业生

文化科总分260分

(二)高职院校招收中等职业学校毕业生

文化科总分100分

(三)高职院校招收退役士兵考生

文化科总分90分

(四)高职院校招收内地西藏新疆中职班考生

文化科总分90分

2022年3+证书投档情况

我省2022年春季高考录取工作于3月23日正式开始。目前,“3+证书”本科批次已完成投档录取工作,共录取893名考生。“依学考成绩录取”和“3+证书”专科批次于24日开始投档,共投出23.2万名考生,其中“依学考成绩录取”投出普通类13.98万人、体育类1792人、音乐类562人、美术类4054人、舞蹈类115人、广播电视编导类101人”;“3+证书”专科中职生投出8.53万人。从投档录取情况看,主要呈现以下几个特点:

一是“3+证书”本科层次录取形势良好。今年我省参与“3+证书”录取的本科高校9所,与上年持平,共录取893名考生,比上年增长32.3%;其中公办本科高校共录取293人,民办本科高校共录取600人。

二是春季高考专科层次考生报考踊跃。“依学考成绩录取”普通类和“3+证书”专科中职生批次院校专业组满档率均超过80%,远高于去年院校专业组满档率。特别是“3+证书”专科中职生批次,今年不仅增加了近8000个计划,达到9万个,而且院校专业组满档率达88%,比上年增长12%,投档率也超过93%,比上年提高15%。这不仅说明考生填报志愿更加合理,也进一步体现出我省中职升高职的立交桥进一步搭实,越来越受到中职毕业生和社会的认可。

三是公办高职院校稳居“热门赛道”。从专科批次投档情况看,“依学考成绩录取”普通类一次性满档的院校专业组有185个,“3+证书”专科中职生一次性满档院校专业组有267个,均以公办高职院校为主,珠三角地区办学基础较好的院校、老牌优质院校依旧生源充足。如“依学考成绩录取”普通类的深圳职业技术学院、广州番禺职业技术学院、顺德职业技术学院、广东轻工职业技术学院、深圳信息职业技术学院部分院校专业组投档分数线均超过370分,分别为392分、378分、377分、371分、370分。“3+证书”专科中职生批次的深圳职业技术学院、广州番禺职业技术学院部分院校专业组投档分数线均超过340分,分别为380分、346分。

根据录取日程安排,“依学考成绩录取”和“3+证书”专科批次录取将于3月26日结束,对未完成招生计划的院校专业,省招生办将于3月29-30日组织考生进行征集志愿。预计,3月30-31日,组织征集志愿投档录取。

2022年3+证书投档线
--------------

学习提分专区

在线练题小程序

三加

ID:zdgzgk 

长按识别二维码关注

公众平台自助答疑须知

学校及专业查询,回复“87”。

看往年分数线,回复“分数”。

查看报考学校,回学校”。

获取招生目录,回复“目录”。

获取考试教材,回复“教材”。

报高职辅导班,回复“辅导”。

获取考试教材(点击“阅读原文”)

最新文章

随机文章

基本 文件 流程 错误 SQL 调试
  1. 请求信息 : 2026-04-04 21:40:01 HTTP/2.0 GET : https://b.mffb.com.cn/a/458317.html
  2. 运行时间 : 0.081193s [ 吞吐率:12.32req/s ] 内存消耗:4,569.51kb 文件加载:140
  3. 缓存信息 : 0 reads,0 writes
  4. 会话信息 : SESSION_ID=5320ca8204d3e2e82c234c30c5b749e9
  1. /yingpanguazai/ssd/ssd1/www/b.mffb.com.cn/public/index.php ( 0.79 KB )
  2. /yingpanguazai/ssd/ssd1/www/b.mffb.com.cn/vendor/autoload.php ( 0.17 KB )
  3. /yingpanguazai/ssd/ssd1/www/b.mffb.com.cn/vendor/composer/autoload_real.php ( 2.49 KB )
  4. /yingpanguazai/ssd/ssd1/www/b.mffb.com.cn/vendor/composer/platform_check.php ( 0.90 KB )
  5. /yingpanguazai/ssd/ssd1/www/b.mffb.com.cn/vendor/composer/ClassLoader.php ( 14.03 KB )
  6. /yingpanguazai/ssd/ssd1/www/b.mffb.com.cn/vendor/composer/autoload_static.php ( 4.90 KB )
  7. /yingpanguazai/ssd/ssd1/www/b.mffb.com.cn/vendor/topthink/think-helper/src/helper.php ( 8.34 KB )
  8. /yingpanguazai/ssd/ssd1/www/b.mffb.com.cn/vendor/topthink/think-validate/src/helper.php ( 2.19 KB )
  9. /yingpanguazai/ssd/ssd1/www/b.mffb.com.cn/vendor/topthink/think-orm/src/helper.php ( 1.47 KB )
  10. /yingpanguazai/ssd/ssd1/www/b.mffb.com.cn/vendor/topthink/think-orm/stubs/load_stubs.php ( 0.16 KB )
  11. /yingpanguazai/ssd/ssd1/www/b.mffb.com.cn/vendor/topthink/framework/src/think/Exception.php ( 1.69 KB )
  12. /yingpanguazai/ssd/ssd1/www/b.mffb.com.cn/vendor/topthink/think-container/src/Facade.php ( 2.71 KB )
  13. /yingpanguazai/ssd/ssd1/www/b.mffb.com.cn/vendor/symfony/deprecation-contracts/function.php ( 0.99 KB )
  14. /yingpanguazai/ssd/ssd1/www/b.mffb.com.cn/vendor/symfony/polyfill-mbstring/bootstrap.php ( 8.26 KB )
  15. /yingpanguazai/ssd/ssd1/www/b.mffb.com.cn/vendor/symfony/polyfill-mbstring/bootstrap80.php ( 9.78 KB )
  16. /yingpanguazai/ssd/ssd1/www/b.mffb.com.cn/vendor/symfony/var-dumper/Resources/functions/dump.php ( 1.49 KB )
  17. /yingpanguazai/ssd/ssd1/www/b.mffb.com.cn/vendor/topthink/think-dumper/src/helper.php ( 0.18 KB )
  18. /yingpanguazai/ssd/ssd1/www/b.mffb.com.cn/vendor/symfony/var-dumper/VarDumper.php ( 4.30 KB )
  19. /yingpanguazai/ssd/ssd1/www/b.mffb.com.cn/vendor/topthink/framework/src/think/App.php ( 15.30 KB )
  20. /yingpanguazai/ssd/ssd1/www/b.mffb.com.cn/vendor/topthink/think-container/src/Container.php ( 15.76 KB )
  21. /yingpanguazai/ssd/ssd1/www/b.mffb.com.cn/vendor/psr/container/src/ContainerInterface.php ( 1.02 KB )
  22. /yingpanguazai/ssd/ssd1/www/b.mffb.com.cn/app/provider.php ( 0.19 KB )
  23. /yingpanguazai/ssd/ssd1/www/b.mffb.com.cn/vendor/topthink/framework/src/think/Http.php ( 6.04 KB )
  24. /yingpanguazai/ssd/ssd1/www/b.mffb.com.cn/vendor/topthink/think-helper/src/helper/Str.php ( 7.29 KB )
  25. /yingpanguazai/ssd/ssd1/www/b.mffb.com.cn/vendor/topthink/framework/src/think/Env.php ( 4.68 KB )
  26. /yingpanguazai/ssd/ssd1/www/b.mffb.com.cn/app/common.php ( 0.03 KB )
  27. /yingpanguazai/ssd/ssd1/www/b.mffb.com.cn/vendor/topthink/framework/src/helper.php ( 18.78 KB )
  28. /yingpanguazai/ssd/ssd1/www/b.mffb.com.cn/vendor/topthink/framework/src/think/Config.php ( 5.54 KB )
  29. /yingpanguazai/ssd/ssd1/www/b.mffb.com.cn/config/app.php ( 0.95 KB )
  30. /yingpanguazai/ssd/ssd1/www/b.mffb.com.cn/config/cache.php ( 0.78 KB )
  31. /yingpanguazai/ssd/ssd1/www/b.mffb.com.cn/config/console.php ( 0.23 KB )
  32. /yingpanguazai/ssd/ssd1/www/b.mffb.com.cn/config/cookie.php ( 0.56 KB )
  33. /yingpanguazai/ssd/ssd1/www/b.mffb.com.cn/config/database.php ( 2.48 KB )
  34. /yingpanguazai/ssd/ssd1/www/b.mffb.com.cn/vendor/topthink/framework/src/think/facade/Env.php ( 1.67 KB )
  35. /yingpanguazai/ssd/ssd1/www/b.mffb.com.cn/config/filesystem.php ( 0.61 KB )
  36. /yingpanguazai/ssd/ssd1/www/b.mffb.com.cn/config/lang.php ( 0.91 KB )
  37. /yingpanguazai/ssd/ssd1/www/b.mffb.com.cn/config/log.php ( 1.35 KB )
  38. /yingpanguazai/ssd/ssd1/www/b.mffb.com.cn/config/middleware.php ( 0.19 KB )
  39. /yingpanguazai/ssd/ssd1/www/b.mffb.com.cn/config/route.php ( 1.89 KB )
  40. /yingpanguazai/ssd/ssd1/www/b.mffb.com.cn/config/session.php ( 0.57 KB )
  41. /yingpanguazai/ssd/ssd1/www/b.mffb.com.cn/config/trace.php ( 0.34 KB )
  42. /yingpanguazai/ssd/ssd1/www/b.mffb.com.cn/config/view.php ( 0.82 KB )
  43. /yingpanguazai/ssd/ssd1/www/b.mffb.com.cn/app/event.php ( 0.25 KB )
  44. /yingpanguazai/ssd/ssd1/www/b.mffb.com.cn/vendor/topthink/framework/src/think/Event.php ( 7.67 KB )
  45. /yingpanguazai/ssd/ssd1/www/b.mffb.com.cn/app/service.php ( 0.13 KB )
  46. /yingpanguazai/ssd/ssd1/www/b.mffb.com.cn/app/AppService.php ( 0.26 KB )
  47. /yingpanguazai/ssd/ssd1/www/b.mffb.com.cn/vendor/topthink/framework/src/think/Service.php ( 1.64 KB )
  48. /yingpanguazai/ssd/ssd1/www/b.mffb.com.cn/vendor/topthink/framework/src/think/Lang.php ( 7.35 KB )
  49. /yingpanguazai/ssd/ssd1/www/b.mffb.com.cn/vendor/topthink/framework/src/lang/zh-cn.php ( 13.70 KB )
  50. /yingpanguazai/ssd/ssd1/www/b.mffb.com.cn/vendor/topthink/framework/src/think/initializer/Error.php ( 3.31 KB )
  51. /yingpanguazai/ssd/ssd1/www/b.mffb.com.cn/vendor/topthink/framework/src/think/initializer/RegisterService.php ( 1.33 KB )
  52. /yingpanguazai/ssd/ssd1/www/b.mffb.com.cn/vendor/services.php ( 0.14 KB )
  53. /yingpanguazai/ssd/ssd1/www/b.mffb.com.cn/vendor/topthink/framework/src/think/service/PaginatorService.php ( 1.52 KB )
  54. /yingpanguazai/ssd/ssd1/www/b.mffb.com.cn/vendor/topthink/framework/src/think/service/ValidateService.php ( 0.99 KB )
  55. /yingpanguazai/ssd/ssd1/www/b.mffb.com.cn/vendor/topthink/framework/src/think/service/ModelService.php ( 2.04 KB )
  56. /yingpanguazai/ssd/ssd1/www/b.mffb.com.cn/vendor/topthink/think-trace/src/Service.php ( 0.77 KB )
  57. /yingpanguazai/ssd/ssd1/www/b.mffb.com.cn/vendor/topthink/framework/src/think/Middleware.php ( 6.72 KB )
  58. /yingpanguazai/ssd/ssd1/www/b.mffb.com.cn/vendor/topthink/framework/src/think/initializer/BootService.php ( 0.77 KB )
  59. /yingpanguazai/ssd/ssd1/www/b.mffb.com.cn/vendor/topthink/think-orm/src/Paginator.php ( 11.86 KB )
  60. /yingpanguazai/ssd/ssd1/www/b.mffb.com.cn/vendor/topthink/think-validate/src/Validate.php ( 63.20 KB )
  61. /yingpanguazai/ssd/ssd1/www/b.mffb.com.cn/vendor/topthink/think-orm/src/Model.php ( 23.55 KB )
  62. /yingpanguazai/ssd/ssd1/www/b.mffb.com.cn/vendor/topthink/think-orm/src/model/concern/Attribute.php ( 21.05 KB )
  63. /yingpanguazai/ssd/ssd1/www/b.mffb.com.cn/vendor/topthink/think-orm/src/model/concern/AutoWriteData.php ( 4.21 KB )
  64. /yingpanguazai/ssd/ssd1/www/b.mffb.com.cn/vendor/topthink/think-orm/src/model/concern/Conversion.php ( 6.44 KB )
  65. /yingpanguazai/ssd/ssd1/www/b.mffb.com.cn/vendor/topthink/think-orm/src/model/concern/DbConnect.php ( 5.16 KB )
  66. /yingpanguazai/ssd/ssd1/www/b.mffb.com.cn/vendor/topthink/think-orm/src/model/concern/ModelEvent.php ( 2.33 KB )
  67. /yingpanguazai/ssd/ssd1/www/b.mffb.com.cn/vendor/topthink/think-orm/src/model/concern/RelationShip.php ( 28.29 KB )
  68. /yingpanguazai/ssd/ssd1/www/b.mffb.com.cn/vendor/topthink/think-helper/src/contract/Arrayable.php ( 0.09 KB )
  69. /yingpanguazai/ssd/ssd1/www/b.mffb.com.cn/vendor/topthink/think-helper/src/contract/Jsonable.php ( 0.13 KB )
  70. /yingpanguazai/ssd/ssd1/www/b.mffb.com.cn/vendor/topthink/think-orm/src/model/contract/Modelable.php ( 0.09 KB )
  71. /yingpanguazai/ssd/ssd1/www/b.mffb.com.cn/vendor/topthink/framework/src/think/Db.php ( 2.88 KB )
  72. /yingpanguazai/ssd/ssd1/www/b.mffb.com.cn/vendor/topthink/think-orm/src/DbManager.php ( 8.52 KB )
  73. /yingpanguazai/ssd/ssd1/www/b.mffb.com.cn/vendor/topthink/framework/src/think/Log.php ( 6.28 KB )
  74. /yingpanguazai/ssd/ssd1/www/b.mffb.com.cn/vendor/topthink/framework/src/think/Manager.php ( 3.92 KB )
  75. /yingpanguazai/ssd/ssd1/www/b.mffb.com.cn/vendor/psr/log/src/LoggerTrait.php ( 2.69 KB )
  76. /yingpanguazai/ssd/ssd1/www/b.mffb.com.cn/vendor/psr/log/src/LoggerInterface.php ( 2.71 KB )
  77. /yingpanguazai/ssd/ssd1/www/b.mffb.com.cn/vendor/topthink/framework/src/think/Cache.php ( 4.92 KB )
  78. /yingpanguazai/ssd/ssd1/www/b.mffb.com.cn/vendor/psr/simple-cache/src/CacheInterface.php ( 4.71 KB )
  79. /yingpanguazai/ssd/ssd1/www/b.mffb.com.cn/vendor/topthink/think-helper/src/helper/Arr.php ( 16.63 KB )
  80. /yingpanguazai/ssd/ssd1/www/b.mffb.com.cn/vendor/topthink/framework/src/think/cache/driver/File.php ( 7.84 KB )
  81. /yingpanguazai/ssd/ssd1/www/b.mffb.com.cn/vendor/topthink/framework/src/think/cache/Driver.php ( 9.03 KB )
  82. /yingpanguazai/ssd/ssd1/www/b.mffb.com.cn/vendor/topthink/framework/src/think/contract/CacheHandlerInterface.php ( 1.99 KB )
  83. /yingpanguazai/ssd/ssd1/www/b.mffb.com.cn/app/Request.php ( 0.09 KB )
  84. /yingpanguazai/ssd/ssd1/www/b.mffb.com.cn/vendor/topthink/framework/src/think/Request.php ( 55.78 KB )
  85. /yingpanguazai/ssd/ssd1/www/b.mffb.com.cn/app/middleware.php ( 0.25 KB )
  86. /yingpanguazai/ssd/ssd1/www/b.mffb.com.cn/vendor/topthink/framework/src/think/Pipeline.php ( 2.61 KB )
  87. /yingpanguazai/ssd/ssd1/www/b.mffb.com.cn/vendor/topthink/think-trace/src/TraceDebug.php ( 3.40 KB )
  88. /yingpanguazai/ssd/ssd1/www/b.mffb.com.cn/vendor/topthink/framework/src/think/middleware/SessionInit.php ( 1.94 KB )
  89. /yingpanguazai/ssd/ssd1/www/b.mffb.com.cn/vendor/topthink/framework/src/think/Session.php ( 1.80 KB )
  90. /yingpanguazai/ssd/ssd1/www/b.mffb.com.cn/vendor/topthink/framework/src/think/session/driver/File.php ( 6.27 KB )
  91. /yingpanguazai/ssd/ssd1/www/b.mffb.com.cn/vendor/topthink/framework/src/think/contract/SessionHandlerInterface.php ( 0.87 KB )
  92. /yingpanguazai/ssd/ssd1/www/b.mffb.com.cn/vendor/topthink/framework/src/think/session/Store.php ( 7.12 KB )
  93. /yingpanguazai/ssd/ssd1/www/b.mffb.com.cn/vendor/topthink/framework/src/think/Route.php ( 23.73 KB )
  94. /yingpanguazai/ssd/ssd1/www/b.mffb.com.cn/vendor/topthink/framework/src/think/route/RuleName.php ( 5.75 KB )
  95. /yingpanguazai/ssd/ssd1/www/b.mffb.com.cn/vendor/topthink/framework/src/think/route/Domain.php ( 2.53 KB )
  96. /yingpanguazai/ssd/ssd1/www/b.mffb.com.cn/vendor/topthink/framework/src/think/route/RuleGroup.php ( 22.43 KB )
  97. /yingpanguazai/ssd/ssd1/www/b.mffb.com.cn/vendor/topthink/framework/src/think/route/Rule.php ( 26.95 KB )
  98. /yingpanguazai/ssd/ssd1/www/b.mffb.com.cn/vendor/topthink/framework/src/think/route/RuleItem.php ( 9.78 KB )
  99. /yingpanguazai/ssd/ssd1/www/b.mffb.com.cn/route/app.php ( 1.72 KB )
  100. /yingpanguazai/ssd/ssd1/www/b.mffb.com.cn/vendor/topthink/framework/src/think/facade/Route.php ( 4.70 KB )
  101. /yingpanguazai/ssd/ssd1/www/b.mffb.com.cn/vendor/topthink/framework/src/think/route/dispatch/Controller.php ( 4.74 KB )
  102. /yingpanguazai/ssd/ssd1/www/b.mffb.com.cn/vendor/topthink/framework/src/think/route/Dispatch.php ( 10.44 KB )
  103. /yingpanguazai/ssd/ssd1/www/b.mffb.com.cn/app/controller/Index.php ( 4.81 KB )
  104. /yingpanguazai/ssd/ssd1/www/b.mffb.com.cn/app/BaseController.php ( 2.05 KB )
  105. /yingpanguazai/ssd/ssd1/www/b.mffb.com.cn/vendor/topthink/think-orm/src/facade/Db.php ( 0.93 KB )
  106. /yingpanguazai/ssd/ssd1/www/b.mffb.com.cn/vendor/topthink/think-orm/src/db/connector/Mysql.php ( 5.44 KB )
  107. /yingpanguazai/ssd/ssd1/www/b.mffb.com.cn/vendor/topthink/think-orm/src/db/PDOConnection.php ( 52.47 KB )
  108. /yingpanguazai/ssd/ssd1/www/b.mffb.com.cn/vendor/topthink/think-orm/src/db/Connection.php ( 8.39 KB )
  109. /yingpanguazai/ssd/ssd1/www/b.mffb.com.cn/vendor/topthink/think-orm/src/db/ConnectionInterface.php ( 4.57 KB )
  110. /yingpanguazai/ssd/ssd1/www/b.mffb.com.cn/vendor/topthink/think-orm/src/db/builder/Mysql.php ( 16.58 KB )
  111. /yingpanguazai/ssd/ssd1/www/b.mffb.com.cn/vendor/topthink/think-orm/src/db/Builder.php ( 24.06 KB )
  112. /yingpanguazai/ssd/ssd1/www/b.mffb.com.cn/vendor/topthink/think-orm/src/db/BaseBuilder.php ( 27.50 KB )
  113. /yingpanguazai/ssd/ssd1/www/b.mffb.com.cn/vendor/topthink/think-orm/src/db/Query.php ( 15.71 KB )
  114. /yingpanguazai/ssd/ssd1/www/b.mffb.com.cn/vendor/topthink/think-orm/src/db/BaseQuery.php ( 45.13 KB )
  115. /yingpanguazai/ssd/ssd1/www/b.mffb.com.cn/vendor/topthink/think-orm/src/db/concern/TimeFieldQuery.php ( 7.43 KB )
  116. /yingpanguazai/ssd/ssd1/www/b.mffb.com.cn/vendor/topthink/think-orm/src/db/concern/AggregateQuery.php ( 3.26 KB )
  117. /yingpanguazai/ssd/ssd1/www/b.mffb.com.cn/vendor/topthink/think-orm/src/db/concern/ModelRelationQuery.php ( 20.07 KB )
  118. /yingpanguazai/ssd/ssd1/www/b.mffb.com.cn/vendor/topthink/think-orm/src/db/concern/ParamsBind.php ( 3.66 KB )
  119. /yingpanguazai/ssd/ssd1/www/b.mffb.com.cn/vendor/topthink/think-orm/src/db/concern/ResultOperation.php ( 7.01 KB )
  120. /yingpanguazai/ssd/ssd1/www/b.mffb.com.cn/vendor/topthink/think-orm/src/db/concern/WhereQuery.php ( 19.37 KB )
  121. /yingpanguazai/ssd/ssd1/www/b.mffb.com.cn/vendor/topthink/think-orm/src/db/concern/JoinAndViewQuery.php ( 7.11 KB )
  122. /yingpanguazai/ssd/ssd1/www/b.mffb.com.cn/vendor/topthink/think-orm/src/db/concern/TableFieldInfo.php ( 2.63 KB )
  123. /yingpanguazai/ssd/ssd1/www/b.mffb.com.cn/vendor/topthink/think-orm/src/db/concern/Transaction.php ( 2.77 KB )
  124. /yingpanguazai/ssd/ssd1/www/b.mffb.com.cn/vendor/topthink/framework/src/think/log/driver/File.php ( 5.96 KB )
  125. /yingpanguazai/ssd/ssd1/www/b.mffb.com.cn/vendor/topthink/framework/src/think/contract/LogHandlerInterface.php ( 0.86 KB )
  126. /yingpanguazai/ssd/ssd1/www/b.mffb.com.cn/vendor/topthink/framework/src/think/log/Channel.php ( 3.89 KB )
  127. /yingpanguazai/ssd/ssd1/www/b.mffb.com.cn/vendor/topthink/framework/src/think/event/LogRecord.php ( 1.02 KB )
  128. /yingpanguazai/ssd/ssd1/www/b.mffb.com.cn/vendor/topthink/think-helper/src/Collection.php ( 16.47 KB )
  129. /yingpanguazai/ssd/ssd1/www/b.mffb.com.cn/vendor/topthink/framework/src/think/facade/View.php ( 1.70 KB )
  130. /yingpanguazai/ssd/ssd1/www/b.mffb.com.cn/vendor/topthink/framework/src/think/View.php ( 4.39 KB )
  131. /yingpanguazai/ssd/ssd1/www/b.mffb.com.cn/vendor/topthink/framework/src/think/Response.php ( 8.81 KB )
  132. /yingpanguazai/ssd/ssd1/www/b.mffb.com.cn/vendor/topthink/framework/src/think/response/View.php ( 3.29 KB )
  133. /yingpanguazai/ssd/ssd1/www/b.mffb.com.cn/vendor/topthink/framework/src/think/Cookie.php ( 6.06 KB )
  134. /yingpanguazai/ssd/ssd1/www/b.mffb.com.cn/vendor/topthink/think-view/src/Think.php ( 8.38 KB )
  135. /yingpanguazai/ssd/ssd1/www/b.mffb.com.cn/vendor/topthink/framework/src/think/contract/TemplateHandlerInterface.php ( 1.60 KB )
  136. /yingpanguazai/ssd/ssd1/www/b.mffb.com.cn/vendor/topthink/think-template/src/Template.php ( 46.61 KB )
  137. /yingpanguazai/ssd/ssd1/www/b.mffb.com.cn/vendor/topthink/think-template/src/template/driver/File.php ( 2.41 KB )
  138. /yingpanguazai/ssd/ssd1/www/b.mffb.com.cn/vendor/topthink/think-template/src/template/contract/DriverInterface.php ( 0.86 KB )
  139. /yingpanguazai/ssd/ssd1/www/b.mffb.com.cn/runtime/temp/5111bd3ce6749a72e5b190c98fc708e0.php ( 11.98 KB )
  140. /yingpanguazai/ssd/ssd1/www/b.mffb.com.cn/vendor/topthink/think-trace/src/Html.php ( 4.42 KB )
  1. CONNECT:[ UseTime:0.000696s ] mysql:host=127.0.0.1;port=3306;dbname=b_mffb;charset=utf8mb4
  2. SHOW FULL COLUMNS FROM `fenlei` [ RunTime:0.001066s ]
  3. SELECT * FROM `fenlei` WHERE `fid` = 0 [ RunTime:0.000335s ]
  4. SELECT * FROM `fenlei` WHERE `fid` = 63 [ RunTime:0.000263s ]
  5. SHOW FULL COLUMNS FROM `set` [ RunTime:0.000539s ]
  6. SELECT * FROM `set` [ RunTime:0.000180s ]
  7. SHOW FULL COLUMNS FROM `article` [ RunTime:0.000556s ]
  8. SELECT * FROM `article` WHERE `id` = 458317 LIMIT 1 [ RunTime:0.001042s ]
  9. UPDATE `article` SET `lasttime` = 1775310001 WHERE `id` = 458317 [ RunTime:0.001561s ]
  10. SELECT * FROM `fenlei` WHERE `id` = 66 LIMIT 1 [ RunTime:0.000242s ]
  11. SELECT * FROM `article` WHERE `id` < 458317 ORDER BY `id` DESC LIMIT 1 [ RunTime:0.000448s ]
  12. SELECT * FROM `article` WHERE `id` > 458317 ORDER BY `id` ASC LIMIT 1 [ RunTime:0.000405s ]
  13. SELECT * FROM `article` WHERE `id` < 458317 ORDER BY `id` DESC LIMIT 10 [ RunTime:0.002471s ]
  14. SELECT * FROM `article` WHERE `id` < 458317 ORDER BY `id` DESC LIMIT 10,10 [ RunTime:0.002993s ]
  15. SELECT * FROM `article` WHERE `id` < 458317 ORDER BY `id` DESC LIMIT 20,10 [ RunTime:0.000940s ]
0.082872s