2025年辽宁省普通类本科批分数线:首选物理 367分 ,首选历史 437分, 艺术类本科控制线:首选物理 275分,首选历史327分 。特控线:首选物理515分,首选历史522分。报考清华美院需要文化课成绩过特控线。报考九大美院及其他校考院校需要文化课过普通本科线。
在辽宁省本科分数线相对较低,对于美术类考生选择走校考方向考取八大美院以及其他校考院校,文化课过线难度较低。(2024年美术高考改革后要求校考院校录取的规则是文化课过本省最低本科线后按照校考专业课成绩排名录取。)
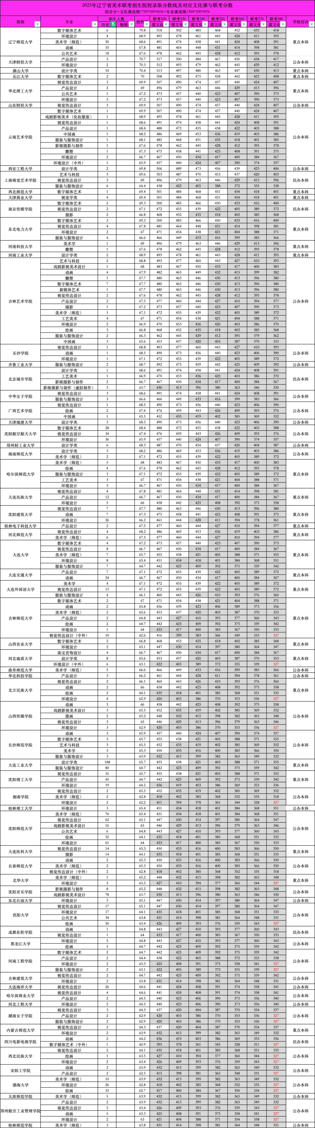
在鲁美附中学习的学生入学即选择纯文科,在高考时如果走校考路线,2025年文化课过本科线437分,然后再看学生校考成绩排名来录取。在高考时可以选择通过联考方向升学,首选历史要求文化课最低分为327分,首选物理要求文化课最低分为275分。总之选择美术方向升学比通过纯文化课成绩高考升学要容易很多,具体的录取分数线和对应的文化课分数与专业课成绩对应表如下:
首选历史招生计划及录取分数线:




首选物理招生计划及录取分数线:


以上数据仅从参考,很多家长会咨询在鲁美附中是否高考有很大的优势,但是家长也不要以为孩子在鲁美附中读书都能够通过校考考进九大美院,虽然在辽宁省普通类本科线比较低,436分是本科分数线相对江浙一带本科分数线要低,但是相对难度也是不容易的。举一个不恰当的例子,在东北房价很低是相对我们在江浙沪的收入水平来看你觉得很低,但是相对东北当地的收入来看也是不低的。因此孩子想在鲁美附中读书文化课达到普通本科线是需要付出较大的努力才可以的。只有全力以赴才能够静待花开。文化课分数考的比较高,既可以走美术校考,同时也可以通过美术联考进入985/211等重点本科院校。通过以上的本科院校招生计划和录取分数线来看,想考到江浙沪等地区的本科院校是有一定的难度的,招生人数相对较少,如果你有目标提前做好准备也是不难的。总之在鲁美附中读书考辽宁省内的本科院校是比较容易的,辽宁省内的本科院校也是相当有实力的,如果孩子想去鲁美附中读书,可以提前了解提早规划。
广东省2025年美术联考招生院校及专业录取分数线对应文化课及专业课成绩(2026届参考)