



2027考研备考指南
西南交通大学
008建筑学院
135600美术与书法

学校简介

图片来源于网络
西南交通大学是教育部直属的成都本土全国重点大学,为国家首批 “双一流”“211 工程”“985 工程优势学科创新平台” 建设高校,始建于 1896 年的山海关北洋铁路官学堂,是中国第一所工程教育高等学府、“交通大学” 最早两大源头之一,素有 “东方康奈尔” 美誉,历经数度更名与迁址,1964 年内迁四川、1972 年定名西南交通大学、1989 年办学主体迁至成都,现拥有成都九里、犀浦、东部(国际)和峨眉四个校区,总占地 5000 余亩;学校学科实力强劲,坐拥交通运输工程、机械工程 2 个一级学科国家重点学科,交通运输工程学科获评 A + 且为双一流建设学科,还拥有多个 ESI 全球前 1% 乃至前 1‰学科,同时具备完善的硕博培养体系与博士后科研流动站,师资与在校生规模雄厚,是轨道交通领域办学特色鲜明的研究型大学。
【学校综合实力】★★★★★
建筑学院

图片来源于网络
西南交通大学在全国率先建成完整覆盖广义建筑学领域的本科专业体系,建筑学院的学科设置,涵盖建筑学、城乡规划学、风景园林学、美术学四个国家一级学科,现设有建筑学、城乡规划、风景园林、绘画四个本科专业;设有建筑学、城乡规划学、风景园林学、美术学四个一级学科硕士点,同时拥有建筑学学士、硕士,城市规划硕士,风景园林硕士、艺术硕士等一批专业学位授予权;建有四川省博士后科研实践基地,组成了较为完善的学科结构体系。建筑学专业是国家级特色专业和四川省重点学科,也是全国首批“卓越工程师”培养专业之一。
专业介绍

▲2026考研西南交通大学研究生招生专业目录

▲2025考研西南交通大学研究生招生专业目录
学制:3年
学费:20000元/生·学年
(一)培养目标
本专业聚焦绘画与公共艺术方向,旨在培育具备扎实专业知识、创新实践能力与良好艺术素养的人才。通过系统研习,学生能掌握中国画、油画、雕塑、壁画等专业技能,深入理解艺术理论,具备独立创作、研究以及在相关领域开展教学的能力。毕业生将在艺术创作、文化教育、艺术管理等领域发挥专长,推动美术与书法艺术的传承与创新。
(二)专业优势与特色
学科积淀深厚:美术专业依托建筑与设计学院,自 2001 年绘画本科专业设立以来,历经多年发展,形成成熟办学格局。师资队伍结构合理,教学课程兼顾基础与前沿,与当代艺术接轨。2006 年获批美术学二级硕士点,2009 年获批 MFA 专业艺术硕士学位点,教学实践经验丰富。
地域资源融合:学校地处四川成都,文化资源丰富,艺术产业发展前景广阔。专业紧密结合地域优势,在绘画和公共艺术方向为本地艺术产业培养急需人才,助力区域文化艺术发展。
特色教学模式:一年级注重严谨写实基础训练与视觉艺术理论学习,为各专业方向筑牢根基,提升综合素养与创新思维。二、三年级开展专业方向训练,强调实践与创新作品产出。四年级实行工作室制,涵盖中国画、油画等多个工作室,发挥师资专长,促进学生艺术个性发展。公共艺术方向采用工程型项目实践教学,增强学生实际操作能力。
(三)研究生导师

01中国画与书法方向
舒群教授:1982 年毕业于鲁迅美术学院中国画系,作品及论文发表于重要专业杂志,多次参展。擅长将传统与现代融合,在理论研究及创作方面成果颇丰,对学生传统艺术传承与创新培养有独到见解。
李传忠副教授:专注书法教学与创作,作品发表于《美术观察》等专业期刊。教学中注重学生个性化发展,指导学生在书法赛事中屡获佳绩。
02公共雕塑与壁画方向
史朝阳教授:中国美术家协会会员,主要从事西画研究,作品及论文在专业核心期刊发表,出版有作品集,对公共艺术与城市文化融合研究深入,能引导学生创作地域特色作品。
李江副教授:中国美术家协会等多协会成员,出版专著画册,作品发表于专业期刊,主持 “成都宽窄巷子壁画工程” 等标志性项目,在雕塑材料运用与创新技法上有建树。
谢南星副教授:中国当代艺术知名画家,作品参展众多国际知名展览并举办个人画展,在壁画色彩、构图教学经验丰富。
刘春尧副教授:雕塑作品发表于专业画册,专注公共雕塑设计研究,教学中注重培养学生对空间关系的把握能力。
03 绘画方向
谢南星副教授:中国当代艺术领域知名画家,作品参展众多国际顶级艺术展览,多次举办个人画展。在绘画色彩搭配、构图逻辑等教学领域经验丰富,擅长引导学生构建独特的艺术表达语言。
(四)就业前景
艺术创作领域:毕业生可专注中国画、书法、雕塑、架上绘画等专项创作,凭借扎实的专业功底参与各类国内外艺术展览,可选择成为自由艺术家,实现艺术理想与经济价值的双重实现。
文化教育行业:可入职中小学、高等院校或专业艺术培训机构担任美术教师,依托院校专业声誉与个人专业能力,在艺术教育领域具备强劲竞争力,助力艺术人才培养。
艺术管理与策划:能在美术馆、博物馆、文化艺术机构及创意企业,从事艺术展览策划、藏品管理、文化项目运营等工作,以专业知识推动艺术文化的传播与普及。
城市公共艺术领域:可参与城市雕塑、公共壁画、景观艺术设计等项目,将艺术创作与城市文化建设相结合,用专业能力提升城市文化品位与公共空间艺术氛围。
考试内容
考试内容:

西南交通大学135600美术与书法考试科目:
① 101 思想政治理论
② 204 英语(二)
③ 649 中外美术史
④ 893 素描创作(3 小时)
2025考研复试细则
(一)复试基本信息
方式:面试和加试。
时间:2025 年 3 月 24 日(星期一)至 2025 年 3 月 25 日(星期二);
地点:西南交通大学犀浦校区 8 号教学楼(分组面试地点将在 2025 年 3 月 23 日下午 15:00 后公布,考生请到犀浦校区 8 号教学楼建筑学院门厅或建筑学院官网查看)。
(二)复试人选确定:第一志愿报考该专业非专项计划考生,初试成绩需达到总分 380 分、政治37 分、外国语 37 分、业务课56 分、业务课56 分才有复试资格。
(三)复试流程及材料准备
需备材料:涵盖有效身份证件、照片、准考证等多种材料,不同身份考生(如往届、应届、境外学历、专项计划等)有不同要求,复试报到时提交。
费用:120 元 / 人,交费时间及方式见西南交通大学研究生招生网相关说明。
(四)复试内容
(1)复试方式:面试和加试( 同等学力考生)。在复试中将对考生进行全面考查和综合评价,既注重考生的学业知识,也注重考生的专业能力素质和科研创新潜质,既注重考生的考试成绩,也注重考生的一贯学业表现。
面试按专业分组进行(对于参加复试考生较多的专业,将按初试成绩平行分组),思想品德考核不合格者,不得录取。面试中还将进行外语听力、 口语测试。
(2)面试要求:考生参加面试请携带本人身份证原件、准考证打印件,各位考生面试时不得携带任何通信设备,请提前 30 分钟到指定地点等候参加考试。
(3)面试环节说明:
1)考生自我陈述 5 分钟。
2)外语听说能力测试,按面试工作人员和面试专家要求完成。
3)专业知识与能力测试。按照随机确定的题号进行作答,面试小组秘书老师将抽取的题签展示给考生,考生确认已清晰阅读题目后作答。面试专家可补充提问,考生作答。
4)综合素质及能力测试。按面试工作人员和面试专家要求完成。
5)考生回答完毕后,面试专家可补充提问,如无问题,则考生退出面试地点。
6)根据面试工作人员提示,下一位考生进入面试地点。
(提示:面试过程中,如遇突发状况,请考生耐心等候,保持电话畅通,工作人员根据应急预案进行操作。)
(4)同等学力考生还须加试两门涵盖报考学科本科阶段主干课程的考试(笔试),每门考试满分为 100 分,不计入复试总成绩。加试时间与地点另行通知。
(五)拟录取成绩计算:拟录取总成绩( 百分制)=初试成绩(换算成百分制) ×65%+复试成绩×35%
649中外美术史
考试内容:
1) 考试方式:
笔试;3小时, 150分。
2)试卷结构:
填空题、简述题、论述题
3)参考书目:
①《中国美术简史》中央美院美术史系编中国青年出版社,2010 年版;
②外国美术简史》中央美院美术史系编中国青年出版社,2014
③《公共艺术概论》, 邹文著,清华大学出版社,2019 年版


4) 考试解析:
《649中外美术史》历年题型变化 | |
2022 | 《649中外美术史》 选择题、简述题、论述题 |
2023 | 《649中外美术史》 选择题、简述题、论述题 |
2024 | 《 649 中外美术史》 名词解释题、简述题、论述题 |
2025 | 《649中外美术史》 名词解释题、简述题、论述题 |
2026 | 《649中外美术史》 名词解释题、简述题、论述题 |
5)考试大纲:
中国美术史部分:
一、考查目标:通过对历代中国艺术风格、艺术流派、艺术家、艺术作品的分析, 使学生对中国美术史 的发展脉络有清楚的认识,掌握主要艺术家及其作品的评价,使学生了解各个时代的艺术风 格和审美特征,提高学生的审美能力。
二、考查范围:
1.史前及先秦美术
1.1 史前美术部分
了解原始社会的历史状况,打造石器及发展阶段。原始陶器的产生和发展。识记彩陶的分类、纹样图样及装饰手法。
1.2 先秦美术部分
了解青铜器的分类、造型及装饰。识记《龙凤人物帛画》、《御龙人物帛画》的意义。
2.秦汉美术
本编要求考生从秦汉时期中央集权制度、社会统一、文化统一的角度,主要了解此时期 各种美术的发展状况及其艺术特征。
2.1 识记陶塑、石雕、玉雕、青铜雕塑、木雕的特征及代表作品,领会其演变与发展。
2.2 识记帛画、壁画、工艺性装饰绘画的特征及代表作品,领会其演变与发展。
2.3 识记画像石与画像砖的特征及代表作品,领会其演变与发展。
2.4 识记工艺与建筑的特征及代表作品,领会其演变与发展。
3.魏晋南北朝隋唐美术
3.1 魏晋南北朝美术部分 识记壁画、工艺装饰性绘画的特征及代表作品;画家及传世作品;画论著作。识记陵墓、石窟、寺观雕塑的艺术及代表作品。识记画像转、砖画、石刻画像的特征及代表作品。识记 各时期书法的特征及代表人物、作品。识记工艺与建筑的特征及代表作品。领会各方面的演 变与发展。
3.2 隋唐美术部分 识记各类壁画的艺术特征及代表作品;各代绘画的特征及代表人物、作品;画论著作。识记各类雕塑的特征及代表作品。识记各代书法的特征及代表人物、作品。识记工艺与建筑 的特征及代表作品。
4.五代宋元美术
识记五代宋元各时期主要画家的艺术风格及其代表作品,画论著作。识记各时期书法家的艺术风格及其代表作品。
4.1 绘画
4.2 书法
4.3 建筑与雕塑
5.明清美术
本编要求考生从明代继承宋代文化并产生新文化思想的角度,了解从明至清流派纷呈的美术发展状况,认识文人画的发展和文人画标准的形成及其它美术现象。识记各时期主要画 家的艺术风格及其代表作品、画论著作。识记各时期书法家的艺术风格及其代表作品。
5.1 明清时期绘画艺术
5.2 明清时期书法艺术
5.3 明清时期壁画、版画与年画艺术
6.近代美术
本编要求考生从西方文化影响和传统文化发展的角度,主要了解此时期中国画、西画演变和发展状况,及其艺术特征。
6.1 近现代时期的绘画艺术
6.2 近现代的书法艺术
6.3 西学东渐
外国美术史部分:
一、考查目标:通过本门课程的学习,使学生加深对以西方美术史为主体的外国美术史的把握,对外国 美术各个历史时期风格的演变及其深层的文化、历史、美学根源有所认识,提高学生对外国 美术的认识、理解、运用能力,以达到与其他专业科目融会贯通的目的,增强学生的整体艺 术素质。
二、考试形式:
1、名词解释包括对人物、流派、风格、理论文献的解释
2、论述题强调考生综合分析能力
3、论述题着重强调考生纵向的思维,连系整体进行分析回答。
三、考查范围:
1.原始古代美术
学生要掌握原始社会的美术特征及古代美术特征,掌握东西方美术发展的源头及其重要代表作品、特色。
1.1 古代两河流域地区的美术
1.2 古代埃及美术
1.3 爱琴美术、古代希腊美术
1.4 古代罗马美术
2.欧洲中世纪美术
考生要掌握欧洲中世纪各分期美术特点和基督教美术特点,如中世纪美术的主要分期;拜占庭美术的特点和在建筑、绘画上的主要代表作品;罗马式美术在建筑上的主要代表作品; 哥特式美术在建筑上的主要代表作品;中世纪美术作为基督教美术的总体特征。
2.1 早期基督教美术
2.1 拜占庭美术
2.3 蛮族艺术和加洛林文艺复兴
2.4 罗马式美术
2.5 哥特式美术
3. 欧洲文艺复兴时期美术
考生要掌握欧洲主要国家在文艺复兴时期的代表画家、雕塑家及其作品的风格、特点;掌握文艺复兴时期美术的总体特征;掌握文艺复兴美术对西方美术史的重要影响和重要意义。
3.1 意大利文艺复兴时期的美术
3.2 尼德兰文艺复兴时期的美术
3.3 德国文艺复兴时期的美术
3.4 西班牙文艺复兴时期的美术
3.5 法国文艺复兴时期的美术
4.17、18 世纪欧洲美术
考生要掌握学院派美术的代表艺术家卡拉奇兄弟及代表作品;学院派美术的艺术特色;识记卡拉瓦乔现实主义的艺术特点;掌握巴洛克美术的概念;巴洛克美术的艺术特点;17 世纪荷兰绘画的总体特征;罗可可美术的概念;罗可可美术的艺术特色。
4.1 17、18 世纪意大利美术
4.2 17 世纪佛兰德斯美术
4.3 17 世纪荷兰美术
4.4 17、18 世纪西班牙美术
4.5 17、18 世纪法国美术
5.19 世纪欧洲及美国美术
考生要掌握法国新古典主义美术、浪漫主义美术、批判现实主义美术、印象派美术的艺术特点及其在西方美术发展进程中重要意义,结合作品分析新古典主义、浪漫主义、印象派 美术、新印象派美术、后印象派美术的艺术特色;识记巡回展览画派的概念;巡回展览画派 的代表艺术家及作品。
5.1 法国新古典主义美术
5.2 法国浪漫主义美术
5.3 法国批判现实主义美术
5.4 法国印象主义、新印象主义和后印象主义美术
5.5 19 世纪德国美术
5.6 18、19 世纪英国美术
5.7 19 世纪美国美术
5.8 18、19 世纪俄罗斯美术
6.20 世纪美术
考生掌握要西方现代美术的主要流派;西方现代美术的总体特征;野兽派、立体主义、表现主义、达达主义、超现实主义、未来主义、荷兰风格派、至上主义、构成主义等艺术流 派的概念、艺术特征、代表艺术家及代表作品;现代艺术诸流派对西方美术发展的影响;后 现代主义美术的主要流派和总体特征;西方现代雕塑的代表艺术家和代表作品。
6.1 西方现代美术
公共艺术概论部分:
引言篇
第一章 作为社会文化的公共艺术
第二章 中国公共艺术研究的意义
概论篇
第三章 公共艺术的性质与特征
第四章 公共艺术的内涵与范畴
第五章 公共艺术的任务与职能
第六章 公共艺术的创作与实践
第七章 公共艺术的限制与问题
第八章 公共艺术的交流与借鉴
专题篇
第九章 公共艺术与教研业态
第十章 公共艺术与城市建设
第十一章 公共艺术与个体、群体
第十二章 公共艺术与创新、复制
第十三章 公共艺术与民间艺术
第十四章 公共艺术与当代艺术
第十五章 公共艺术与文化传播
案例篇









893 素描创作(3 小时)
考试内容:
1) 考试方式:
笔试;3小时, 150分。
2)试卷结构:
829素描创作(3小时): 绘图板, A3 标准答题纸作答,并自备足量黑色铅笔,不能自带其他特殊作图工具。
《829素描创作》历年题型变化 | |
2016 | 《829素描创作》 ①春光 ②新时代 ③新生活 以人物为主的双人组合3小时对开素描创作 |
2017 | 《829素描创作》 ①征程 ②青春 ③温暖的日子 以人物为主的双人组合3小时对开素描创作 |
2018 | 《829素描创作》 ①家乡的记忆 ②岁月 ③多梦时节 以人物为主的双人组合3小时对开素描创作 |
2022 | 《829素描创作》 运动会,要表现接力棒交接的瞬间。 |
2023 | 《829素描创作》 青春......乡村振兴 |
历年录取情况
录取分数线
西南交通大学复试分数线(135600美术与书法) | ||||
年份 | 复试线 | 国家线 | 政治英语 | 专业课 |
2025 | 380 | 351 | 37 | 56 |
2024 | 362 | 362 | 40 | 60 |
2023 | 367 | 362 | 40 | 60 |
2022 | 384 | 361 | 40 | 60 |
2021 | 362 | 346 | 38 | 57 |
2020 | 363 | 347 | 38 | 57 |
录取情况分析:
西南交通大学复试分数线(135600美术与书法) | ||||
年份 | 推免人数 | 一志愿录取人数 | 最高分 | 最低分 |
2025 | 6 | 6 | 415 | 373 |
2024 | 4 | 5 | 402 | 376 |
2023 | 4 | 5 | 390 | 367 |
2022 | 17(4人美术) | 13 | 414 | 385 |
2021 | 11 | 21 | 402 | 362 |
2020 | 12 | 17 | 408 | 368 |
2025年录取情况:
2025年西南交通大学135600美术与书法拟招12人,其中6人推免,一志愿录取初试最低分数线为415分,录取初试最高分数线为373分。

2024年录取情况:
2024年西南交通大学135600美术与书法拟招9人,其中4人推免,一志愿录取初试最低分数线为402分,录取初试最高分数线为376分。


2023年录取情况:
2022年西南交通大学135100艺术专硕美术方向拟招32人,其中17人推免,2022年艺术设计推免录取13人,美术推免录取4人。一志愿录取初试最低分数线为385分,录取初试最高分数线为414分。


▲2022年拟录取推免名单
2022年录取情况:
2022年西南交通大学135100艺术专硕拟招32人,其中17人推免,2022年艺术设计推免录取13人,美术推免录取4人。一志愿录取初试最低分数线为385分,录取初试最高分数线为414分。



▲2022年拟录取推免名单
2021年录取情况:
2021年西南交通大学135100艺术专硕拟招32人,其中11人推免。录取初试最低分数线为362分,录取初试最高分数线为402分。

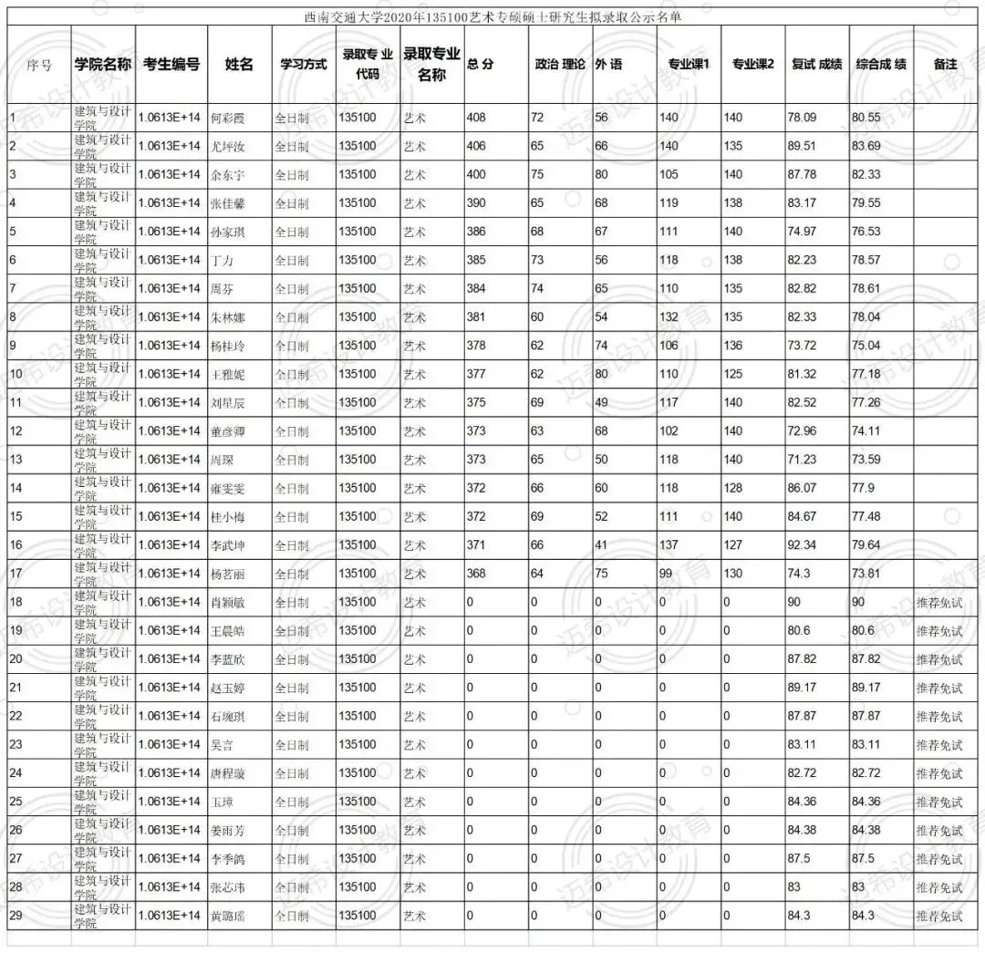
2020年录取情况:
2020年西南交通大学135100艺术专硕拟招29人,其中12人推免。录取初试最低分数线为368分,录取初试最高分数线为408分。

福利来啦!
更多真题免费领取
加客服微信:merci00001

转发本文到朋友圈积攒10个,截图给客服即可免费领取。
—END—

















✦
关于迈希
✦
迈希设计教育隶属于成都迈希教育科技有限公司,是一所专业从事艺术类考研的优质的教育机构,拥有一支爱岗敬业、团结奋进、善于学习勇于探索的教师队伍,不断的推出更新、更优质的教学和服务。自成立以来,迈希始终以“用心做教育”为宗旨,谨守诚信办学的行为准则,始终把学生利益放在首位,助力各位考研学子圆梦名校!深受广大学子信赖。
师资团队
50+
专注艺术考研专业课辅导,博士5人+,硕士35人+,本科5人+。
服务学员
600+
三年时间服务600+学员,来自全国各地,为了同一梦想相聚迈希。
上岸学员
200+
学员上岸西南交通大学、成都大学、四川师范大学、西华大学、西南民族大学、西华师范大学、四川轻化工大学、重庆邮电大学、兰州交通大学、哈尔滨师范大学、沈阳师范大学等等等......
发展历程
2023年
2024考研,迈希将继续倾囊相助,帮助每一位信任迈希的你成功登顶梦想的高峰!
2022年
2023考研我们用专业注入教学核心,用负责和耐心倾注教学过程。帮助50多名学生成功上岸,实现自己的梦想。
2021年
迈希教育于2021年成立,聚集了川内各大高校的教师资源,共同搭建了考研服务平台,实现了现场面授、网络直播和视频回放三位一体,可以令考研学生获得优质的教学资源。2022考研培养了30多位学生成功上岸!
企业文化
企业愿景
成为被考生信赖、行业追随、向社会赋能的科技教育品牌。
企业使命
为客户提供更贴心优质的服务;为员工创造更大的舞台。
教育理念
以人为本。
核心价值观
科学严谨、从严治企。
一个人自律很难!
和一群人一起变强
却很简单。
让你的进步不在孤单。

肉眼可见的成绩飙升
独有的学习氛围。
难忘的考研体验

你的选择,已经被
100+学长学姐
验证:一战上岸。


EXPERIENCE SHARING
考研经验分享
为了帮助2026考研的学弟、学妹们了解考研形势、掌握科学的备考方法、及时做好学业规划,迈希教育邀请了已经上岸的学长、学姐分享他们的考研历程,从考研备考、考研流程、考研择校、各科学习规划、调剂等角度展开全面解读。
点击图片查看























































扫描下方 微信二维码咨询我们吧!


招生咨询杨老师
微信号|merci00004
电话号码|18884583718

教务处 迈希教育李老师
微信号|merci00001
电话号码|18022473649


扫描下方QQ群二维码一起交流吧!


25考研交流群
QQ群号:635252110

迈希教育
艺术考研|手绘培训|设计软件|学历提升
招生热线:180 2247 3649
招生地址:成都市郫都区西华大学南门宇众曼城商铺3栋3层301、307
