公办院校(67所)
回复学校名称或代号 (点击学校名称)
101 广州卫生职业技术学院
108 深圳职业技术大学
109 广东农工商职业技术学院
110 广东科学技术职业学院
111 广东食品药品职业学院
112 广东体育职业技术学院
113 广东职业技术学院
114 广东建设职业技术学院
115 广东女子职业技术学院
116 广东机电职业技术学院
117 汕尾职业技术学院
118 阳江职业技术学院
119 河源职业技术学院
120 汕头职业技术学院
121 深圳信息职业技术大学
122 广东司法警官职业学院
123 广东省外语艺术职业学院
124 广东文艺职业学院
125 广州体育职业技术学院
126 罗定职业技术学院
127 茂名职业技术学院
128 珠海城市职业技术学院
129 肇庆医学院
131 广东理工职业学院
132 广东工程职业技术学院
133 广东科贸职业学院
134 中山职业技术学院
135 东莞职业技术学院
136 广东环境保护工程职业学院
137 广东艺术职业学院
138 惠州卫生职业技术学院
139 惠州城市职业学院
140 江门职业技术学院
141 广东茂名幼儿师范专科学校
142 广东江门中医药职业学院
143 湛江幼儿师范专科学校
202 广东南华工商职业学院
144 广东水利电力职业技术学院
145 广州民航职业技术学院
146 广州职业技术大学
147 广东松山职业技术学院
148 佛山职业技术学院
160 广东邮电职业技术学院
149 揭阳职业技术学院
150 清远职业技术学院
161 广东工贸职业技术学院
151 广州工程技术职业学院
152 中山火炬职业技术学院
153 广州城市职业学院
154 广州铁路职业技术学院
159 广东行政职业学院
155 广州科技贸易职业学院
156 广东生态工程职业学院
157 广东茂名健康职业学院
158 惠州工程职业学院
159 广东茂名农林科技职业学院
160 广东江门幼儿师范高等专科学校
161 广东财贸职业学院
162 广州幼儿师范高等专科学校
163 广东汕头幼儿师范高等专科学校
164 广东梅州职业技术学院
165 广东潮州卫生健康职业学院
166 广东云浮中医药职业学院
167 深圳城市职业学院
民办院校 (29所)
回复学校名称 查询 (点击学校名称)
229 广东岭南职业技术学院
2025高职高考3+证书可报考院校(12所本科)
公办本科(点击链接)
1、韶关学院
2、韩山师范学院
3、广东技术师范大学
4、嘉应学院
5、岭南师范学院
6、深圳职业技术大学*(有专科)
7、广东轻工职业技术大学*(有专科)
民办本科(点击链接)
院校志愿的小程序
我的分数能上什么学校?
可以在小程序测录取率



在哪里可以找到这个小程序呢?

2025年3+证书录取最低分数线
经研究决定,广东省2025年普通高校春季高考(普通高等学校招收中等职业学校毕业生统一考试、高职院校依据普通高中学业水平考试成绩招生录取)招生录取最低分数线如下:
一、普通高等学校招收中等职业学校毕业生统一考试
(一)本科院校招收中等职业学校毕业生
文化科总分260分。
(二)高职院校招收中等职业学校毕业生
文化科总分120分。
(三)高职院校招收退役士兵考生
文化科总分85分。
(四)高职院校招收内地西藏新疆中职班考生
文化科总分90分。
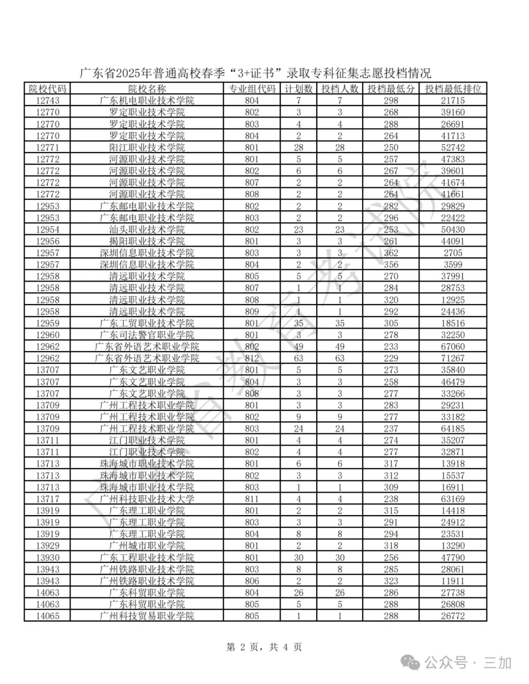
今年全省共有12所本科高校参与“3+证书”本科批次录取,新增招生院校3所,录取人数同比增长463人,增幅达34%,反映出我省中职毕业生学历提升需求不断增加,中职升本科路径进一步拓宽。“3+证书”专科批次考生志愿填报踊跃,绝大部分院校专业组均一次性满档。“依学考成绩录取”普通类、体育类、音乐类、美术与设计类、舞蹈类等部分院校专业组未满档,其中民办专科院校专业组缺额较大。












高职院校招收中等职业学校毕业生:文化科总分120分。
高职院校招收退役士兵考生:文化科总分75分。
高职院校招收内地西藏新疆中职班考生:文化科总分80分。
补录最低分数线为120分,今年可以参与补录的考生超过6.8万人。
2025年3+证书总补录计划有940个,以公办补录人数为主。竞争非常激烈!6.8万人参加补录抢940个计划!








2024年3+证书录取最低分数线
经研究决定,广东省2024年普通高校春季高考(普通高等学校招收中等职业学校毕业生统一考试、高职院校依据普通高中学业水平考试成绩招生录取)招生录取最低分数线如下:
一、普通高等学校招收中等职业学校毕业生统一考试
(一)本科院校招收中等职业学校毕业生
文化科总分260分。
(二)高职院校招收中等职业学校毕业生
文化科总分115分。
(三)高职院校招收退役士兵考生
文化科总分85分。
(四)高职院校招收内地西藏新疆中职班考生
文化科总分90分。




中职生:文化科总分105分。
退役士兵:文化科总分75分。
内地西藏新疆中职班:文化科总分80分。
今年可以参与补录的考生超过105分的同学有6.5万人,超过115分的考生有5.8万人。
2024年3+证书总补录计划有2481个,其中公办补录人数为954人;民办补录人数为1527人。公办的计划还是比较少的,竞争比较激烈!6.5万人参加补录抢2000多个计划!





2023年3+证书录取最低分数线
2023年录取最低控制分数线(省控线)
(一)本科院校招收中等职业学校毕业生
(二)高职院校招收中等职业学校毕业生
(三)高职院校招收退役士兵考生
(四)高职院校招收内地西藏新疆中职班考生
2023年3+证书投档情况










今年可以参与补录的同学有4.7万人,超过85分的同学有4.7万人,超过100分的同学有4.3万人。填补录志愿的同学基本都是100分以上,在100分以下的同学还是比较少的。
根据考试院公布的补录计划,总补录计划有10788个,其中公办补录人数为1610人;民办补录人数为9178人。








学习提分专区
三加
ID:zdgzgk

长按识别二维码关注
获取考试教材(点击“阅读原文”)
