分享,激发创新思维
提升信息获取能力:在信息爆炸的时代,学会如何有效地获取和筛选信息至关重要。通过分享和接收考试资料,学生可以锻炼自己的信息获取与筛选能力,学会在众多资源中找到最适合自己的学习材料。促进教育均衡分配:考试资料的分享有助于缓解教育资源分布不均的问题。缩小与发达地区或学校的教育差距。推动教育创新与发展:考试资料的分享也促进了教育创新和发展的进程。教师可以根据学生的反馈和需求,不断调整和优化教学内容和方法;学生则可以通过分享自己的学习经验和心得,为教育创新提供宝贵的参考意见。
文末免费领取真题、备考资料包
今天给各位考生准备的资料是:2020-2025历年考研数学一数学二数学三真题试卷+答案(电子版pdf)。


部分内容展示



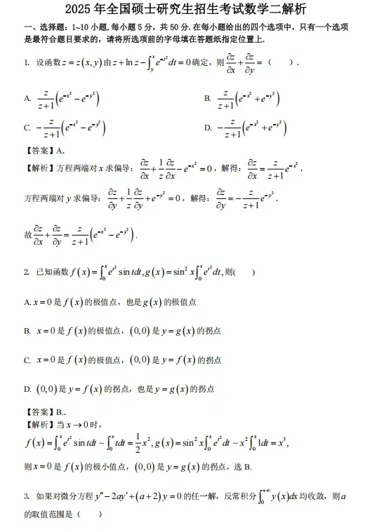
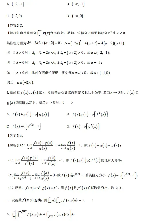
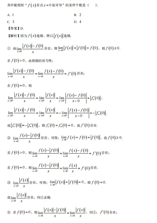
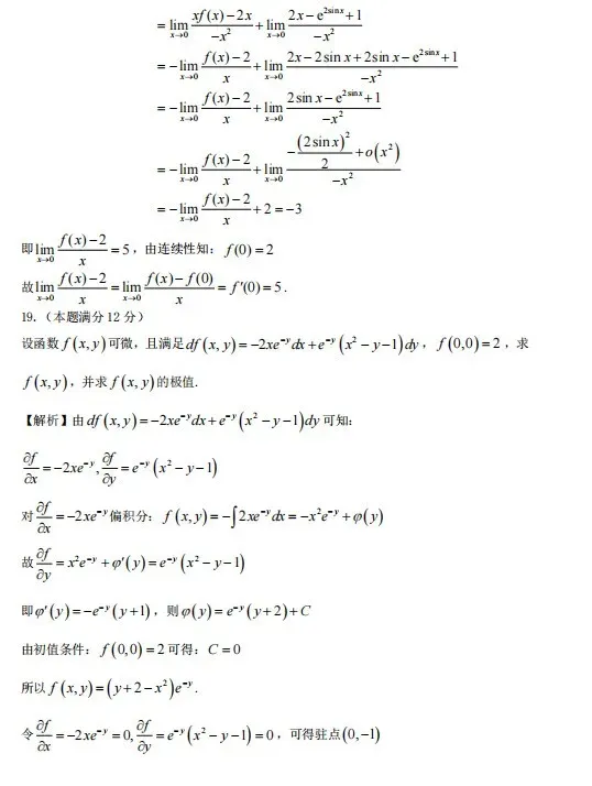
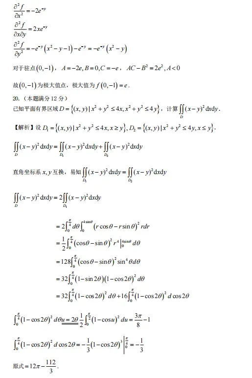
数学二真题解析













免费真题精选:
「【0】四六级英语历年真题备考资料
链接:https://pan.quark.cn/s/2aa75f3fbae8
「【0】考研历年真题备考资料
链接:https://pan.quark.cn/s/f34f5c56dea8
「02考公考编真题备考资料合集」
链接:https://pan.quark.cn/s/161781d46340
![]() |
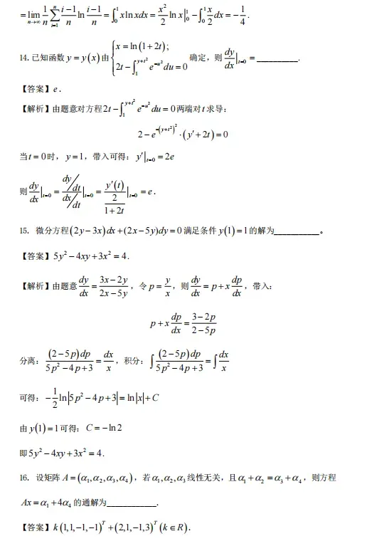
![]() |