北京交通大学土木建筑工程学院成立于1996年,其前身是1956年成立的北京铁道学院铁道建筑系。211、双一流、第四轮学科评估结果为B+。北京交通大学土木考研 865 结构力学整体难度中等,考察范围明确、题型稳定,对基础扎实的考生友好,高分(130+)易达成,性价比高。下面我们来具体分析一下北京交通大学2025年土木工程专业的录取情况,给26、27考研的小伙伴做个备考参考。
专业课考试科目及参考书
🔺865结构力学:
[1]《结构力学(上册,第7版)》.李廉锟主编,高等教育出版社,2022,11.
[2]《结构力学I一基本教程(第4 版)》.龙驭球、包世华、袁驷主编,高等教育出版社,2018,8.
[3]《结构力学(上册,第3版)》.朱慈勉、张伟平主编,.高等教育出版社
复试内容为05110 土力学或 05111 混凝土结构设计原理(二选一)2025年录取情况
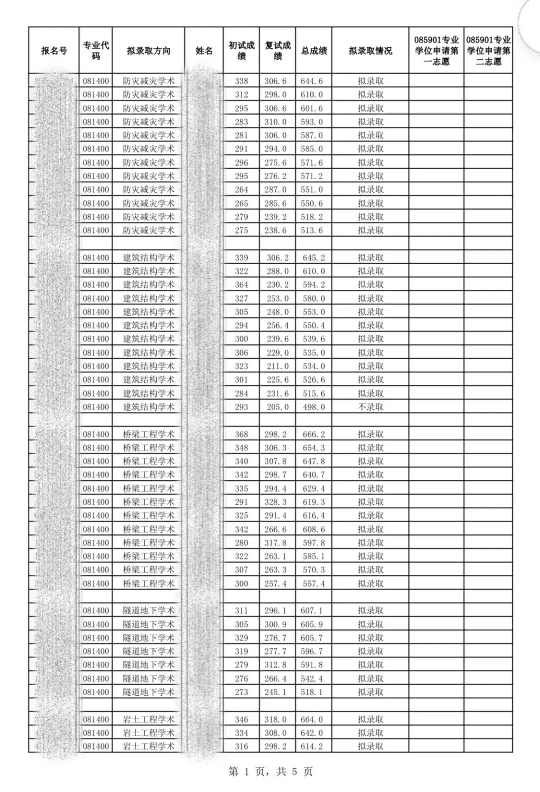
从上述数据中可以看出,北京交通大学不管是学硕还是专硕,一志愿最低分都接近于国家线,只要能进入复试,好好复习基本就可以被录取。北京交通大学的性价比显然高于其他211,且对专业课的考察更偏向于基础,建议大家早点开始复习专业课,打牢基础。
2025年复试方案
(上下滑动查看所有内容)
拟录取名单
(上下滑动查看所有内容)
校园环境
北京交通大学坐落于二环旁、三环内的黄金区位,得天独厚的地理位置让日常出行、周边游玩和美食探寻都格外便捷。校园里的景致更是四季皆有韵味,春日繁花次第绽放,夏日绿荫繁茂动人,秋日银杏铺就金毯、红果缀满枝头,冬日冰雪裹裹银装,无论是上课路上的随手抓拍,还是课后漫步的定格瞬间,每一帧都是氛围感满满的大片。土木学院的老师们更是治学严谨、教学用心,不仅有着扎实深厚的学术功底,还会耐心指导学生的学业与科研,专业实力拉满,学习氛围超棒,真心欢迎各位学弟学妹报考北京交通大学!大家关注的奖学金政策,可参考 2025 年招生简章的详细说明,福利满满值得期待。另外要和大家提一句,北交未来规划整体搬迁至雄安新校区,新校区会有更完善的硬件设施和发展空间,只是暂时会远离市区的便利,利弊皆有,具体进展可以持续关注学校官网的官方通知。这里是北交大——既有严谨的学术氛围,也有鲜活的烟火气,每一天都值得期待。想上岸北京交通大学的同学,可以点这里添加老师了解北京交通大学定制全程班哦!