
根据广东省教育考试院公布的考试日历,2026年4月自学考试报名报考将于2月26日开始(具体时间安排若有变动,以省考试院通知为准),有意向提升学历的考生切勿错过。
📍4月考期报名报考时间:
👉2026年2月26日-3月1日
(图源广东省教育考试院)













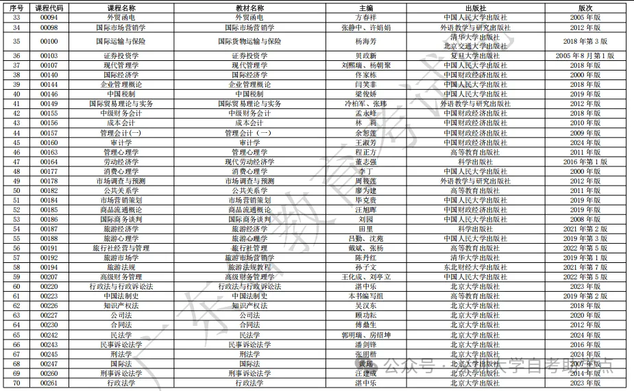
(上下滑动查看)

















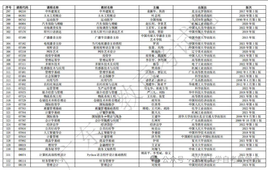
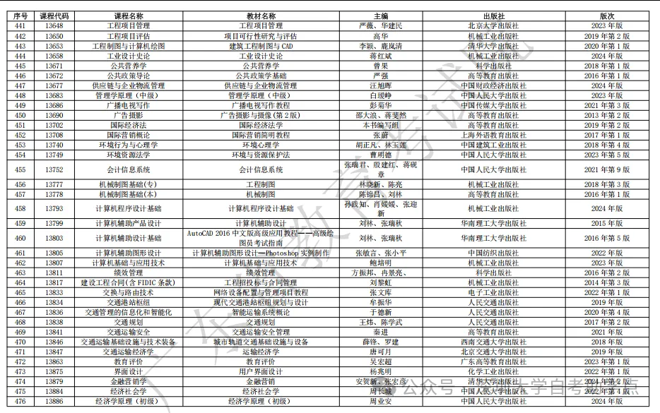
(上下滑动查看)

想要报读深圳大学自考/成考可以添加或联系我校助学点方老师:18129800559、佳佳老师:15323841862。
往期文章(点击查看)

(小方老师)申请自考毕业办理
自考报名报考咨询
联系方式:18129800559




