来源:河南共青团综合自河南省阳光高考信息平台、河小阳、河南省教育厅2023全国高考已结束
接下来就是
最重要的志愿填报环节
团团为大家整理了
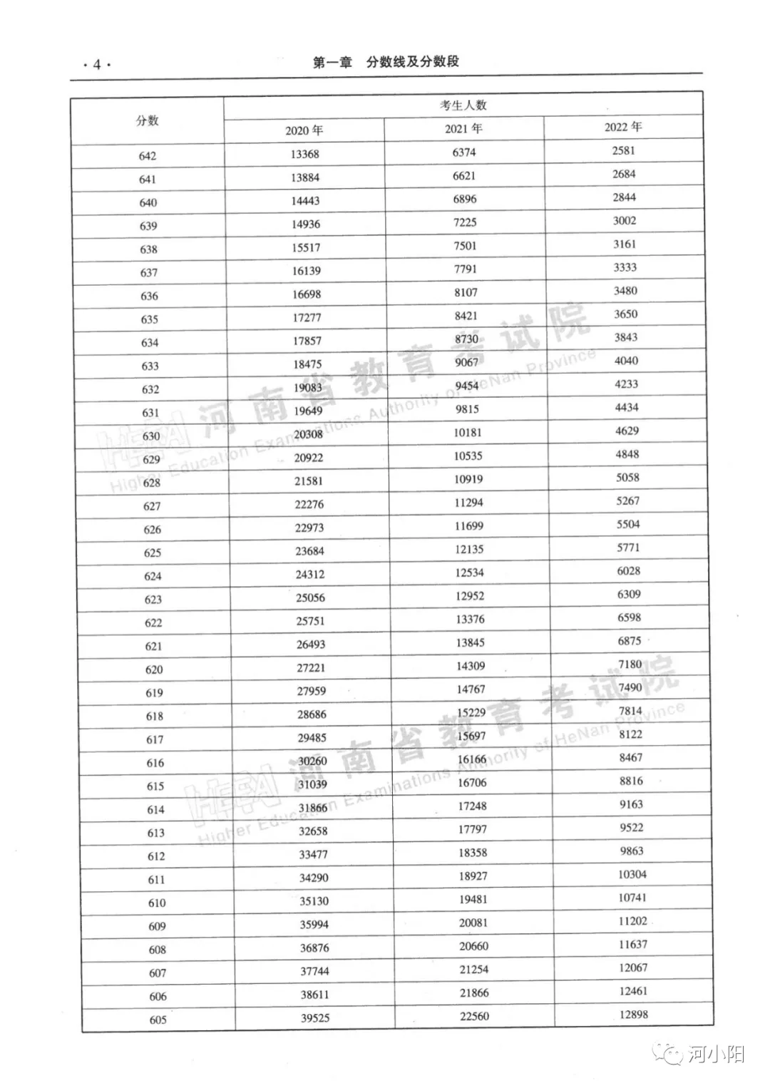
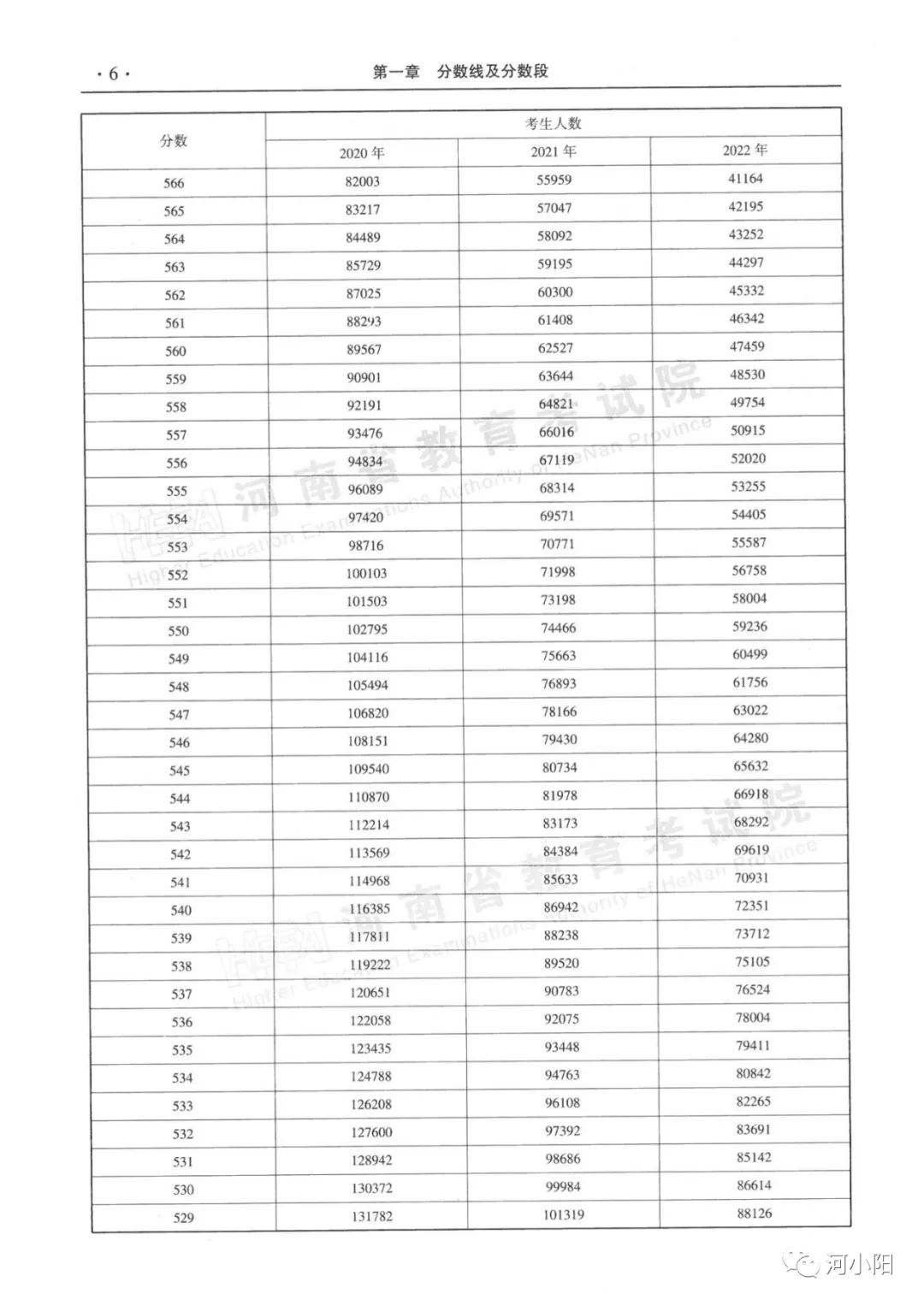
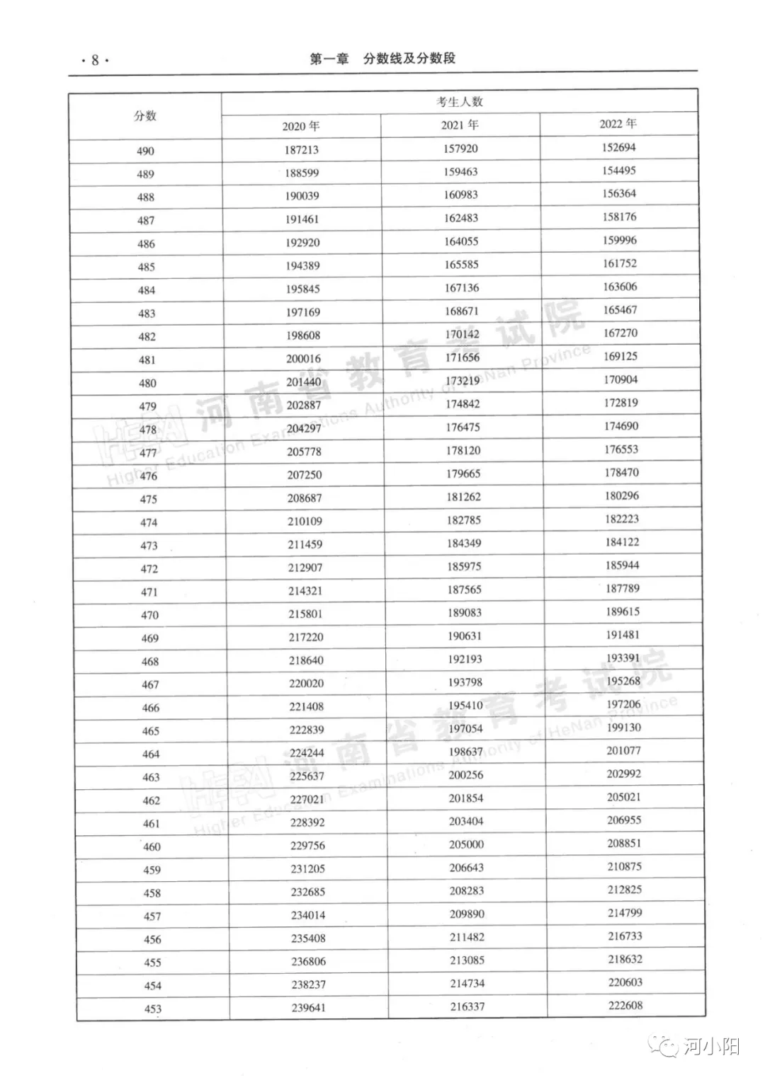
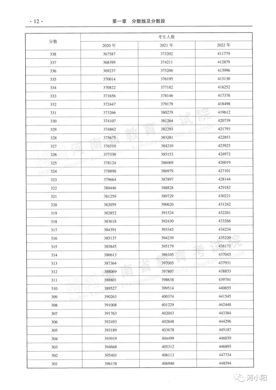
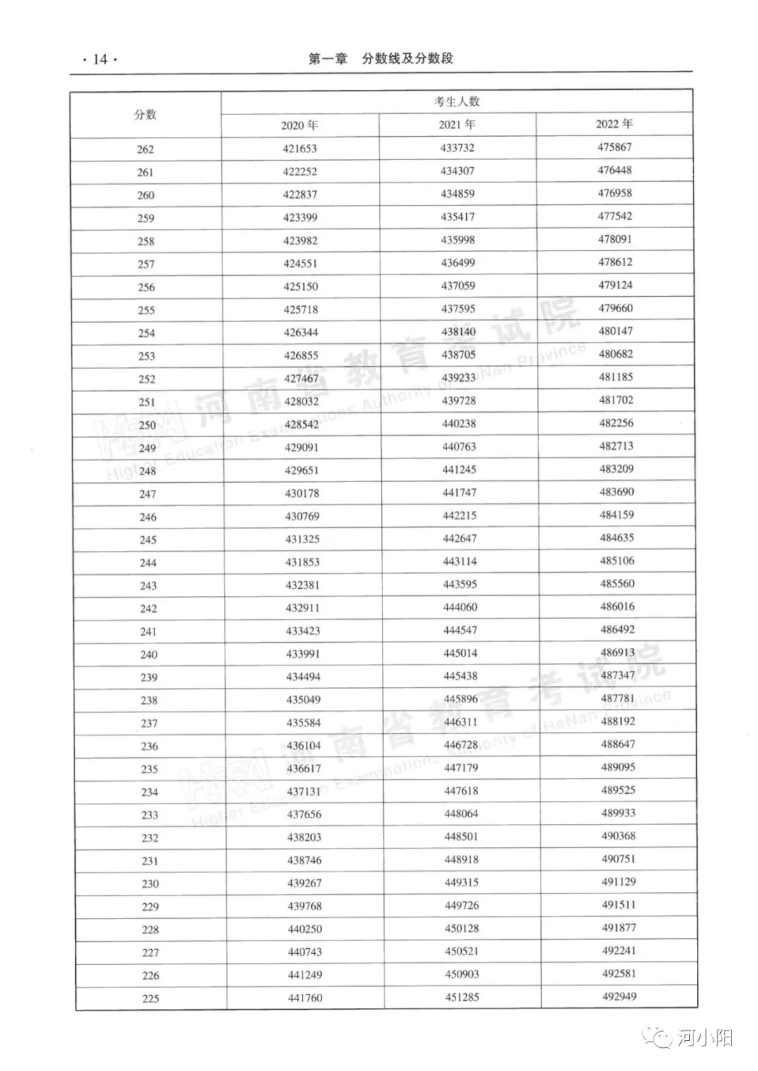
河南近三年普通高招
录取分数线及分数段统计表
(含理、文科)


















考生请认准!
2023年河南省具有普通高等学历教育
招生资格学校名单为深入实施高校招生“阳光工程”,加大信息公开力度,发挥社会监督作用,增强政府信息服务功能,维护普通高等学历教育的办学秩序,现公布2023年河南省具有普通本专科招生资格和五年一贯制高职、“3+2”分段制高职招生资格名单。除本次公布的学校外,省内其他任何机构2023年均不具备普通本专科招生资格和五年一贯制、“3+2”分段制高职招生资格,其所招收学生无法在教育部注册学籍、学历,无法发放国家承认的普通高等教育学历证书。请今年参加招生录取的考生,在报考志愿前注意查询本名单和教育部、省教育厅、省教育考试院等部门网站信息,切勿相信名单外机构的虚假宣传。
本名单分为两个部分,第一部分是河南省举办的属于国民学历教育序列且安排2023年招生计划的高校,包括本科层次院校和专科层次院校,不含在河南招生的省外高校、军队院校以及驻豫中央部门所属高校。第二部分是经批准2023年具有招收应届初中毕业生开展五年一贯制和“3+2”分段制高职资格的学校,包括具有五年一贯制招生资格的普通高校、具有联合开展“3+2”分段制高职招生的中高职学校。
2023年河南省具有普通高等学历教育招生资格学校名单
1.郑州大学
含郑州大学体育学院
2.河南大学
3.河南科技大学
4.河南理工大学
5.河南师范大学
6.河南农业大学
7.河南工业大学
8.河南财经政法大学
9.华北水利水电大学
10.河南中医药大学
11.郑州轻工业大学
12.信阳师范大学
13.新乡医学院
14.河南科技学院
15.中原工学院
16.郑州航空工业管理学院
17.安阳师范学院
18.南阳师范学院
19.洛阳师范学院
20.商丘师范学院
21.黄河科技学院
22.河南城建学院
23.周口师范学院
24.许昌学院
25.安阳工学院
26.南阳理工学院
27.平顶山学院
28.黄淮学院
29.新乡学院
30.洛阳理工学院
31.河南工程学院
32.郑州科技学院
33.郑州工业应用技术学院
34.河南警察学院
35.郑州师范学院
36.商丘学院
37.商丘工学院
38.黄河交通学院
39.郑州财经学院
40.郑州商学院
41.郑州升达经贸管理学院
42.河南牧业经济学院
43.信阳农林学院
44.河南财政金融学院
45.郑州工程技术学院
46.河南工学院
47.安阳学院
48.信阳学院
49.郑州工商学院
50.河南科技职业大学
51.郑州西亚斯学院
52.郑州经贸学院
53.河南开封科技传媒学院
54.中原科技学院
55.新乡工程学院
56.郑州美术学院
1.河南职业技术学院
2.漯河职业技术学院
3.三门峡职业技术学院
4.郑州铁路职业技术学院
5.开封大学
6.焦作大学
7.濮阳职业技术学院
8.郑州电力高等专科学校
9.黄河水利职业技术学院
10.许昌职业技术学院
11.河南工业和信息化职业学院
12.河南水利与环境职业学院
13.商丘职业技术学院
14.平顶山工业职业技术学院
15.周口职业技术学院
16.济源职业技术学院
17.河南司法警官职业学院
18.鹤壁职业技术学院
19.河南工业职业技术学院
20.郑州澍青医学高等专科学校
21.焦作师范高等专科学校
22.河南检察职业学院
23.河南质量工程职业学院
24.郑州信息科技职业学院
25.漯河医学高等专科学校
26.南阳医学高等专科学校
27.商丘医学高等专科学校
28.郑州电子信息职业技术学院
29.信阳职业技术学院
30.嵩山少林武术职业学院
31.郑州工业安全职业学院
32.永城职业学院
33.河南经贸职业学院
34.河南交通职业技术学院
35.河南农业职业学院
36.郑州旅游职业学院
37.郑州职业技术学院
38.河南信息统计职业学院
39.河南林业职业学院
40.河南工业贸易职业学院
41.郑州电力职业技术学院
42.河南建筑职业技术学院
43.漯河食品职业学院
44.郑州城市职业学院
45.安阳职业技术学院
46.新乡职业技术学院
47.驻马店职业技术学院
48.焦作工贸职业学院
49.许昌陶瓷职业学院
50.郑州理工职业学院
51.郑州信息工程职业学院
52.长垣烹饪职业技术学院
53.开封文化艺术职业学院
54.河南应用技术职业学院
55.河南艺术职业学院
56.河南机电职业学院
57.河南护理职业学院
58.许昌电气职业学院
59.信阳涉外职业技术学院
60.鹤壁汽车工程职业学院
61.南阳职业学院
62.郑州商贸旅游职业学院
63.河南推拿职业学院
64.洛阳职业技术学院
65.郑州幼儿师范高等专科学校
66.安阳幼儿师范高等专科学校
67.郑州黄河护理职业学院
68.河南医学高等专科学校
69.郑州财税金融职业学院
70.南阳农业职业学院
71.洛阳科技职业学院
72.濮阳医学高等专科学校
73.三门峡社会管理职业学院
74.河南轻工职业学院
75.河南测绘职业学院
76.驻马店幼儿师范高等专科学校
77.鹤壁能源化工职业学院
78.信阳航空职业学院
79.郑州卫生健康职业学院
80.河南物流职业学院
81.河南地矿职业学院
82.平顶山职业技术学院
83.河南女子职业学院
84.林州建筑职业技术学院
85.南阳科技职业学院
86.河南对外经济贸易职业学院
87.濮阳石油化工职业技术学院
88.郑州轨道工程职业学院
89.郑州电子商务职业学院
90.郑州体育职业学院
91.兰考三农职业学院
92.汝州职业技术学院
93.洛阳文化旅游职业学院
94.周口文理职业学院
95.信阳艺术职业学院
96.郑州城建职业学院
97.郑州医药健康职业学院
98.郑州亚欧交通职业学院
99.平顶山文化艺术职业学院
100.南阳工艺美术职业学院
101.濮阳科技职业学院
102.商丘幼儿师范高等专科学校
103.周口理工职业学院
104.焦作新材料职业学院
105.开封职业学院
106.洛阳商业职业学院
107.郑州软件职业技术学院
108.郑州智能科技职业学院
109.郑州食品工程职业学院
110.郑州汽车工程职业学院
2023年河南省具有五年一贯制高职、“3+2”分段制高职招生资格学校名单
(上下滑动查看↓)
一、五年一贯制高职
55.林州建筑职业技术学院
二、3+2分段制高职
1.河南省理工中等专业学校(与河南物流职业学院联办)2.河南信息工程学校(与郑州工业安全职业学院联办)3.河南省工商行政管理学校(与河南机电职业学院联办)4.河南省水利水电学校(与河南交通职业技术学院联办)5.河南省经济管理学校(与河南工业贸易职业学院联办)7.河南省商务中等职业学校(与河南物流职业学院联办)8.河南省民政学校(与河南水利与环境职业学院联办)9.洛阳铁路信息工程学校(与河南机电职业学院联办)10.河南省医药卫生学校(与河南工业和信息化职业学院联办)11.河南省驻马店财经学校(与河南物流职业学院联办)12.河南省民族中等专业学校(与河南水利与环境职业学院联办)13.河南省洛阳经济学校(与河南物流职业学院联办)14.商丘幼儿师范学校(与安阳幼儿师范高等专科学校联办)15.南阳广播电视中等专业学校(与南阳农业职业学院联办)16.河南省新闻出版学校(与河南工业贸易职业学院联办)17.宁陵县职业中等专业学校(与河南工业贸易职业学院联办)18.汝州市中等专业学校(与漯河职业技术学院联办)20.河南省信阳航空服务学校(与信阳航空职业学院联办)21.光山县中等职业学校(与漯河职业技术学院联办)22.周口航运中等专业学校(与驻马店幼儿师范高等专科学校联办)24.平顶山市工业学校(与平顶山职业技术学院联办)25.淮滨县中等职业学校(与信阳职业技术学院联办)26.漯河市食品工业中等专业学校(与漯河食品职业学院联办)27.焦作市职业技术学校(与河南工业和信息化职业学院联办)28.泌阳县中等职业技术学校(与河南机电职业学院联办)29.漯河市源汇区中等专业学校(与河南农业职业学院联办)32.河南省驻马店农业学校(与河南农业职业学院联办)33.周口市淮阳区职业中等专业学校(与河南工业和信息化职业学院联办)34.河南省南阳工业学校(与信阳职业技术学院联办)36.商水县第一职业中等专业学校(与长垣烹饪职业技术学院联办)37.鹤壁市机电信息工程学校(与鹤壁职业技术学院联办)39.方城县中等职业学校(与周口职业技术学院联办)40.平顶山外国语学校(与平顶山职业技术学院联办)41.辉县市职业中等专业学校(与河南工业贸易职业学院联办)42.漯河市电子科技中等专业学校(与周口职业技术学院联办)44.鹤壁市科技中等专业学校(与鹤壁职业技术学院联办)45.郑州青年职业中等专业学校(与济源职业技术学院联办)46.河南省南阳经济贸易学校(与南阳农业职业学院联办)47.南阳市宛西中等专业学校(与南阳农业职业学院联办)48.南阳市宛东中等专业学校(与驻马店幼儿师范高等专科学校联办)49.南阳市宛北中等专业学校(与漯河职业技术学院联办)51.尉氏县职业技术教育中心(与河南信息统计职业学院联办)52.郑州绿业信息中等专业学校(与河南质量工程职业学院联办)53.新乡测绘中等专业学校(与河南水利与环境职业学院联办)56.郑州市财经学校(与河南信息统计职业学院联办)57.郑州市实验中等专业学校(与河南物流职业学院联办)59.郑州市电子信息工程学校(与河南水利与环境职业学院联办)60.新乡市职业教育中心(与漯河职业技术学院联办)61.叶县中等专业学校(与河南水利与环境职业学院联办)62.鹿邑县职业技术学校(与河南机电职业学院联办)63.安阳市中等职业技术学校(与安阳职业技术学院联办)64.濮阳市职业中等专业学校(与济源职业技术学院联办)66.漯河市第一中等专业学校(与河南经贸职业学院联办)67.项城市中等专业学校(与河南机电职业学院联办)68.南阳信息工程学校(与河南工业职业技术学院联办)69.漯河市郾城区第一职业技术高级中学(与河南质量工程职业学院联办)70.栾川县中等职业学校(与长垣烹饪职业技术学院联办)71.郑州市国防科技学校(与河南机电职业学院联办)72.灵宝市中等专业学校(与平顶山职业技术学院联办)74.郑州市信息技术学校(与郑州旅游职业学院联办)75.郑州市科技工业学校(与郑州旅游职业学院联办)76.长垣职业中等专业学校(与河南机电职业学院联办)77.郑州艺术幼儿师范学校(与开封文化艺术职业学院联办)78.郑州铁道中等专业学校(与郑州轨道工程职业学院联办)79.开封市信息工程学校(与开封文化艺术职业学院联办)80.开封市文化旅游学校(与开封文化艺术职业学院联办)81.洛阳市工业信息中等专业学校(与洛阳职业技术学院联办)82.洛阳市中等职业学校(与河南农业职业学院联办)83.安阳县职业中等专业学校(与安阳职业技术学院联办)84.固始县申达职业技术学校(与河南工业贸易职业学院联办)86.洛阳市商业中等专业学校(与济源职业技术学院联办)87.郑州时代科技中等专业学校(与许昌陶瓷职业学院联办)88.滑县职业中等专业学校(与河南农业职业学院联办)89.镇平县工艺美术中等职业学校(与河南机电职业学院联办)90.沁阳市职业教育中心学校(与安阳幼儿师范高等专科学校联办)91.郑州轻工业学校(与河南工业贸易职业学院联办)93.开封市科技工业学校(与黄河水利职业技术学院联办)94.郑州市经济贸易学校(与郑州旅游职业学院联办)95.郑州城轨交通中等专业学校(与河南水利与环境职业学院联办)96.郑州市商贸管理学校(与河南经贸职业学院联办)98.信阳工业中等职业学校(与河南对外经济贸易职业学院联办)99.濮阳县职业技术学校(与信阳航空职业学院联办)100.许昌北方电子科技学校(与河南农业职业学院联办)101.唐河县中等职业学校(与南阳农业职业学院联办)102.宝丰县中等专业学校(与河南质量工程职业学院联办)103.郑州鹤立中等专业学校(与河南女子职业学院联办)104.郑州平原邮电中等专业学校(与河南工业贸易职业学院联办)105.郑州电子科技中等专业学校(与河南工业和信息化职业学院联办)106.郑州电力中等专业学校(与郑州电力职业技术学院联办)107.平顶山市机械电子科技学校(与河南质量工程职业学院联办)108.洛阳绿业信息中等专业学校(与洛阳职业技术学院联办)109.汝阳县中等专业学校(与河南机电职业学院联办)110.嵩县致远中等专业学校(与洛阳文化旅游职业学院联办)111.淇县职业中等专业学校(与鹤壁职业技术学院联办)112.汤阴县职业技术教育中心(与黄河水利职业技术学院联办)113.邓州市职业技术学校(与南阳科技职业学院联办)114.固始县世纪职业中等专业学校(与济源职业技术学院联办)115.开封市现代科技中等职业技术学校(与新乡职业技术学院联办)116.临颍县职业教育中心(与河南对外经济贸易职业学院联办)117.开封新民科技中等专业学校(与长垣烹饪职业技术学院联办)118.郑州创新科技中等专业学校(与济源职业技术学院联办)120.禹州市中等专业学校(与郑州旅游职业学院联办)121.睢县职业技术教育培训中心(与商丘职业技术学院联办)122.襄城县职业技术教育中心(与河南机电职业学院联办)