
紧张紧张!
学考成绩公布后
就来到最头疼的填志愿环节了
你知道怎么查询春季高考成绩吗?
要达到多少分才能填志愿吗?
多少分才能被理想大学/专业录取?
和自己同分数段的竞争对手有多少?
填志愿前应该参考哪些分数及排位?
……

要解决这些疑惑
了解填报志愿规则尤为重要
看懂这4种历年分数线数据
填报志愿不用愁
快跟上助学君的脚步
①关注 “广东学考助学君” 微信公众号,点底部菜单栏:【春季高考】-【查分入口】,即可快速进学考成绩查询入口!

②进入考试院官方小程序,点击【考试成绩】-【高中学考】


考试成绩查询入口
将于成绩公布之时准时开放
请同学们耐心等待
③选择对应的考试类型,输入考生号、密码,即可查询。

查询样式如下图
👇👇👇

(2023年学考成绩查询页面)

(填报前公布)
录取控制分数线也称“省控线”,可以简单理解为填报志愿的门槛。如果考生的成绩已经达到省控线要求,则可以进行第一次志愿填报;如果低于省控线,就需要等待补录(征集志愿),重新填报志愿参与录取。
假设:2026年春季高考最低控制线依然是190分,你今年考了300分,恭喜你可以在指定时间内填志愿;你同学考了189分,则需要等补录,因为达不到最低控制线。
按照往年的情况,春季高考省控线会和成绩几乎同时公布。但由于今年过年时间比较晚,高中菌猜测省控线很大可能会在春节后再公布。
省控线每年会根据试卷难度、考试人数、总招生计划等都会影响分数的变动,下面为大家汇总了过去几年的控制分数线情况:

(填报前公布)
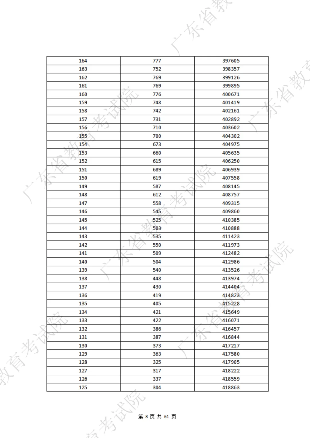
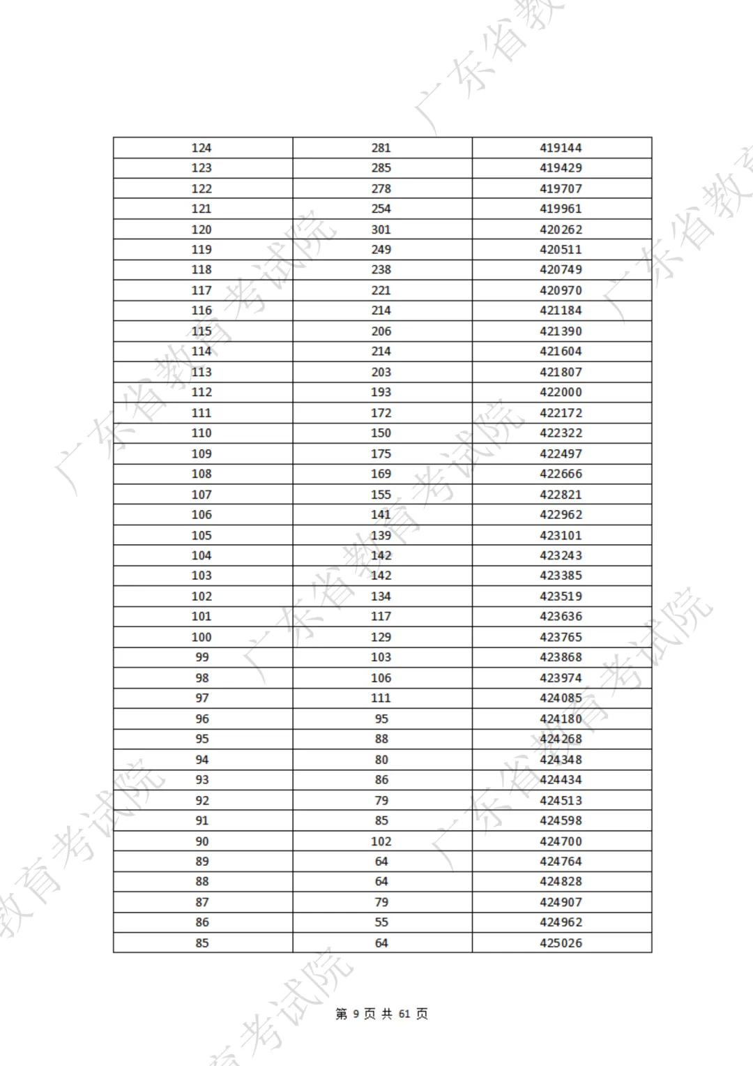
分数统计表也叫一分一段表,一般由考试院在填志愿前几天公布,通过分段统计表,考生可以查到自己的学考成绩在今年全省考生中的排名,并大致了解到自己的“竞争对手”有多少。
需要注意的是,填志愿时候看排位比看分数要准确!无论与去年相比控制线波动是否明显,考生都不能仅凭分数填报志愿,要充分利用“分段统计表”,以成绩排名作为填报参考。
请回顾2025年分数段表,提前熟悉表格内容。









切记!2026年投档分数是录取结束后才会公布!
院校录取分数线,官方称为院校投档最低分,包含院校的最低分和最低排位,大家常说的“某校最低要300分才能被录取,这个300就是最低投档分。”
很多学生和家长都会有这样的观念:以为学校会在报志愿之前公布他们的录取分数线,只要过线了就可以报那所学校。
其实这样的观念是错误的,其实这样的观念是错误的,在填志愿之前只能参考往年的投档分数和排位来填志愿。因为被院校提档的最后一名考生的分数/排位,就是该院校的最低投档分数线/最低投档排位。
还不明白的话
👇👇👇
比如A学校,今年收500个学生,这时候所有学生都能报A学校。假设有1000人已填报,考试院的计算机会按照这1000人的分数从高到低排序检索,然后把前面500人(所谓的择优录取)投档给院校,501到1000的就不要了(因为满额了)。院校收到投档数据后,第500名(最后一名)学生的分数和排位就是今年A学校的投档最低分和最低排位。
切记!这个分数是填完志愿后才会公布!
切记!这个分数是填完志愿后才会公布!
(填报后公布)
学生达到院校最低投档分后,院校还需要按照考生分数进行从高到低进行“专业分配”,所以每个专业的录取分数线都不一样,会自然形成录取最高分、录取最低分,通常将某个专业的录取最低分数称之为专业录取分数线,简称专业线。
通过查看各校往年专业录取分,可以了解相应专业的报考热度情况,这样我们可以合理分配专业填报顺序,以及大概预估自己是否被该专业录取,以此来降低被退档的风险!
注意!录取分数和排名并非每年都固定不变,2026年院校录取排位在录取结束后公布,在填志愿前,只能参考往年分数及排位。
近期有部分院校公布2025年各专业录取分,可以用于参考→最强参考!春季高考【各专业】录取分数公布!
以上4种分数线
同学们都读懂了吗?
学考出分后
助学君会继续推送
相关的择校、填报干货和指南......
各分段的考生志愿具体该怎么填
将助学君设为【星标】
及时查看各种资讯哦
预祝各位同学高分上岸~

基础薄弱想冲刺春季高考
并希望有专业的学科老师辅导
就来广轻大·2027届春季高考辅导班



▍图文来源:网络
